CONTENTS
Data Processing for Sterilisation Processes Version 9
Computer and Operating System Specification.
1.2 Using the TQSoft Interface
2.0 Company Name and General Settings
2.1 Security and Electronic Signatures
2.1.3 Changing and reminding Passwords
2.1.4 To De-Activate an Operator
2.1.5 To Change what an Operator can Do
2.1.6 To Backup or Move All Operators to another Computer
2.1.7 Adding Digital Signature to Records
2.1.8 Adding Electronic Signatures
2.3.1 Identifying Channels for Analysis and TQEXPRESS.
2.5.4 Manual Calibration Adjust
2.5.6 Advanced Calibration for Remote Loggers.
2.5.6.1 Manual Setpoint Calibration Procedure
2.5.5 Calibration Measurement Adjustments
2.6.4 Selecting which Probes to log and probe Groups
2.6.5 Setting up a Stage List for a Test Specification.
2.6.6.1 Introduction & I-Calc Wizard
2.6.6.4 Deciding Which Type of I-calc to Use
2.6.6.6 The EN554 Demonstration
2.6.6.7 Stage Names, Intervals and Special Codes.
2.6.6.8 Editing Groups of I-Calcs.
2.6.7 Logger Specific Specifications
2.6.9 Creating a new Test Specification
2.7 Temperature Reference Setup and Control
2.8 Thermal Bath Setup and Control
2.9.1 Adding Equipment to a Chamber
2.9.2 Adding Reports for a Chamber (System Accuracy
Test)
2.10 The Test Equipment Database
2.10.1 The Logger Correction Factor
2.11.1 Custom Stages and Special Stages
2.12 The 3D Sensor Positions
Diagram
2.12.2 The Positions Control Panel
2.12.3 Putting the 3D Diagram into
Reports
3.3 Starting a Test (Using the GO button)
3.4 Do’s and don’ts while a Test is being logged.
3.5.1 The Inputs Display Drop Down Menu
3.5.3 Stability and Fluctuation Monitoring
3.6 Using the real time Chart.
3.7 Viewing real time Data Listing.
3.8 If a Channel goes Full Range.
3.8 Entering Stages as they happen.
3.9 The ‘View’ Button. Looking at Historical Tests while logging.
Diagram: TQSoft Calibration Checking Automatic File Management.
4. Accessing Tests and Calibration Records Historically
4.2.1 Configuring the Historical Test Index
4.2.2 Configuring the Historical Test Index for Hierarchical Tree view
mode.
4.3.2 Setting Up Stages using the Chart.
4.3.4 Displaying a Shaded Area on the Chart.
4.4.1 Data Listing Configuration
4.4.2 Producing a Data Listing Summary with Stages
4.4.3 The Data Listing Printout
4.6 The Historic Channel Configuration
4.7 Calibration Records Viewing Signing and Printing.
4.7.1 Adding Electronic Signatures to Reports
4.8 Calibration Report for each Test.
4.9 Calibration Checking Records Viewing and Printing.
4.10 Calibration Checking Report for each Test.
4.11 Making a Systems Accuracy Test from the Chart
4.12.3 Data Management
Specification Table.
File Synchronization Omission List
Audit Trail Specification (RS1_6)
5.1 The Audit Archiving Function
5.2 Maintaining the Audit Trail
5.3 Archiving and Viewing an archived Audit Trail
Appendix B Fluke Hydra Connection
Appendix C Kaye Equipment Setup Notes
Appendix D Kaye DigiStrip, KL, Portable with TQSoft Notes
Note 1 Configuation and Validation Scheme
Note 2 Channel Configuration Details
Kaye Calibration Considerations
Appendix D2 Kaye Validator 2000 Notes.
Appendix E Eurotherm 4250M Recorder
Appendix F Anville Series 400 Loggers
Appendix G Using Channels other that Temperature and Pressure e.g. Humidity.
Appendix H The Simulation Logger
Appendix I The
KeySight/Agilent Loggers
How to use the Loggers
Remote from TQSoft with USB
How to use the Loggers
Remote from TQSoft with Memory
Appendix J Independent
Chamber Monitoring Features Overview.
Special Configuration for
Automatic Mode
Digital Input Required
for Automatic Test Start and Stop
Automatic Process
Recognition on Multi Process Chamber
Automatic Complete Test
Analysis
Appendix K Continuous
Monitoring Features Overview
Logged Files can now
cover many Days
New Test Specification
Controls for Continuous Monitoring
Limits and Fail Actions
for Continuous Monitoring
Inserting Stages
Automatically at a certain Time
Appendix L Calibrating Pressure and other non temperature channels.
General Operational Considerations
Setting up a Basic Test Specification
Part 2 Type 2 Loggers NanoVacq, PicoVacq, MiniVacq etc.
General Operational Considerations
Setting up Channel Configuration and
Test Specification for TMI Loggers.
Appendix N Simulating a Test for Validation and Demo.
Appendix O Fluke 2680 and NetDAQ Operations
NetDAQ Scan Speed Setting Adjustment
Appendix P Eurotherm 5000/6000 Series units
Appendix Q TecnoSoft Interface
Using Test Specifications with TecnoSoft
Procedure for Forcing data from a specific Logger into a specific Channel
Number.
Synchronizing Scans in TQS-NET
Appendix S Yokogawa DX2000/1000/DX200P/DX100P
Computer Communications Settings
TQSoft Communications Settings
Yokogawa DX Logger Control Window in TQSoft
Channel Configuration Settings
TecnoSoft, MadgeTech and Gemini USB Interfaces
Appendix U Yokogawa DR130/DR23X/DR24X
Computer Communications Settings
TQSoft Communications Settings
Yokogawa DR Logger Control Window in TQSoft
Channel Configuration Settings
Appendix V Grant Squirrel 2040
TQSoft is intended for use by professionals involved in thermal validation of steam, fluid and dry heat sterilization processes in pharmaceutical applications, hospitals and healthcare industries.
It is also intended for validation of high quality metal heat treatment furnaces, as well as ovens and fridges and freezers in the food, pharmaceutical , and healthcare industries.
It has fully automatic calibration, test monitoring, data logging, reporting and archiving functionality built around communications interfaces with most of the leading loggers, thermal calibrators and temperature reference equipment.
It has a comprehensive validation plan available, originating from a detailed requirements and functional specification, linking to an acceptance test document covering every aspect of its functionality.
It meets every aspect of 21CFR Part11 and AMS2750 covering requirements and guidelines for electronic records in detail and substance.
It goes beyond these basics by providing a friendly and flexible user interface, detailed, flexible calibration and test reports, as well as an interface to a reporting package (TQEXPRESS) that allows reports to be customized, managed and compiled to PDF format.
TQSoft is unique in that it is an application designed specifically for validation professionals, with many years of input by those very professionals, independent of any particular hardware product vendor.
This Manual and these specifications apply to TQSoft version 9.x.x. Where x refers to any incremental version.
|
Criteria |
Specification |
|
|
|
|
CPU Processor |
Intel Pentium II or higher |
|
CPU Clock Speed |
600 MHz or higher |
|
CPU RAM |
128 MB or higher |
|
Operating System |
Windows 11 or earlier. |
|
Communication Ports for Logger |
One unused serial port, or USB port with USB to serial Keyspan converter. If using Fluke 2680 a network adaptor is required. |
|
Communication Ports for Thermal |
One unused serial port, or USB port with USB to serial Keyspan converter. |
|
Communication Ports for Reference Temperature |
One unused serial port, or USB port with USB to serial Keyspan converter. |
|
USB |
One USB port for license dongle. |
|
Disk Drives |
Standard CD drive for installation. CDRW or Floppy or Network adaptor for backup and storage. |
|
Printer |
Windows printer. |
|
Monitor |
Colour monitor with at least 256 colours |
|
Screen Resolution |
Minimum 800 x 600. |
See Document TQSOFT INSTALL,QUICK START, VERSION INFORMATION stored in Manuals folder on CD and supplied printed with CD.
In general the main display windows in TQSoft can be moved and resized to suit user preferences. The preferred settings are saved and restored automatically.

The main toolbar caption shows which configuration file the program is running from. No indication means that it is running from the standard LOGSYS.ini file. This is important for Monitoring systems.
The toolbar can be re-sized as required by dragging edges with mouse. The toolbar can be made small for monitoring systems. In this case the wording will disappear. If program functions are not allowed an operator, the buttons and drop down menu headers do not appear.
The arrow buttons on the lower right of the toolbar will allow tests to be selected quickly sequentially. Using them will change the current test indicator. With the chart displayed, the chart will be automatically updated with the next test selected.
The Reports button on the right will access the TQExpress reports. The down arrow feature on the button can be clicked to access a complete report that is associated with the current test selection shown on the Current Test menu.
The Historic Tests button down arrow feature can be used to switch to tests that have been recently selected.
The back panel window can be re-sized and minimized and shut at will independently of the toolbar.
The company name is used on all report headings. If the license is removed the name will revert to UNLICENSED SOFTWARE.
The System Identifier is used in the audit trail report and more importantly the first two characters of the identifier are used to tag all setup records so that records from several Chambers or engineers can be held on a server logsys directory.
If the first two characters of the System Identifier are changed, TQSoft will sift through all the setup Test Specifications, calibrations, calibration checks, and calibration files, changing the first two characters of the name.
The Store
The Signature at end of Test and Calibration option prompts an automatic add signature window so that operator can add signature to all records generated.
The Add Signature boxes control where signature section will appear in the Data List printout.
The show calibration summary reports for tests option will include an extra summary sheet for calibration and calibration checks showing a summary for each channel. This summary will be useful when calibration is carried out on multiple groups of sensors or sensors of different type (eg thermocouples and pressure transducers)
The show calibration results tables in calibration reports will show a table of reference versus measured value results for each channel in calibration reports, calibration check reports, and in the test setup report.
The show I-Calc setups in Test Setup report will show a separate parameter section for each I-Calc in the Test Setup report.
After installation TQSoft will start without requiring an ID/Password. In this mode TQSoft will acquire the operators name from the active Windows account. Inactivity timeout should be left off with the “00:00:00” setting, and password length and age limit settings are not applied.
In Windows account mode 21CFRpart11 compliance must be applied to the Windows user accounts.
Windows account mode is operational until ‘Windows account (Demo)’ is de-activated.
It is possible to leave TQSoft in this security mode rather than use TQSoft’s own user ID and password system.
It might be a good idea to skip this section initially until you have become familiar with other parts of the system.
Each system user will require an ID and password to use TQSoft. Persons who may only want to add electronic signatures to documents will also need to be set up as an operator.
The ID is permanent and must not be forgotten. The password effectively allows an ID to be used and inserted into documents, as the legal equivalent of the users written signature. The password can be changed periodically and, if forgotten, be reminded with the co-operation of the system administrator.
ID's and passwords are always stored in encrypted format, and any TQSoft files that contain a users ID are also protected by TQSoft file security functions (see section 4) so that an ID cannot be simply copied and pasted into other files.
The access settings can be configured so that one or more users can be effectively 'system administrator' with responsibility for adding and deleting operators and configuring an operators' access. All 'system administrator' test record and system access manipulation actions are fully audited
It is important to note that the 'system administrator' is not responsible for setting up an operator's ID and password. The ID and password are setup by the operator the first time he or she logs in. This is because it is a 21CFRPART11 requirement that the ID and password are only known by the their owner (and NOT the system administrator).
![]() |
The password window appears whenever TQSoft is started (except if Windows account (Demo) is active in the operator list), and can be accessed on the Setup menu.
You are required to enter your ID. If you have not logged on to TQSoft before, and you know that the System Administrator has added you to the list of users, you should press the New User button and select your name from the list of new users, then press ENTER and create your ID and password. Your ID could simply be your name alone, or with something extra (rather like a hand-written signature is your name written a special way)
Press ENTER when you have finished on each box. You are then required to enter the date that your password will expire. When a password has expired if you use it to log on then TQSoft automatically asks you to create a new password.
At any point, to go back a step in the password window, simply press the Esc key.

From the Setup dropdown menu select Edit Security. Note that this function can be assigned to a single individual, effectively a System Administrator.
Important: Access settings are stored in a file (operat3.ini) in the LOGSYS directory. The passwords are encrypted. If this file is altered in any way using a
text editor, access to TQSoft will be impossible.
Type the new name into the Name box, then press Add to List. The operator will be added to the list. When the new user first logs into TQSoft he or she should press the New User button in the password window, then setup an ID and password.
The new user is auto assigned to the Operator group profile settings. Select a different group with the groups selector for example to make the new user an Admin. Use the Groups tab to modify each group’s default profile. When a group profile is modified, each user that is assigned to the group will have their profile updated.
|
Hardware |
Operator |
Manager |
Admin. |
|
Select type of Logger/Recorder |
|
Yes |
Yes |
|
Select Channel Configuration (Download) |
|
Yes |
Yes |
|
Logger Control |
|
Yes |
Yes |
|
Calibration |
Yes |
Yes |
Yes |
|
Advanced Calibration |
|
Yes |
Yes |
|
Calibration Files Manual Adjust (Edit) |
|
|
Yes |
|
Calibration Files Manual Adjust (Edit) Logger |
|
|
Yes |
|
Calibration Checking (&Validation) |
Yes |
Yes |
Yes |
|
Calibration Files |
|
Yes |
Yes |
|
Thermal Bath |
|
Yes |
Yes |
|
Stability Criteria |
|
Yes |
Yes |
|
Temperature Reference |
|
Yes |
Yes |
|
Setup |
Operator |
Manager |
Admin. |
|
Edit Security |
|
|
Yes |
|
Audit Trail |
|
Yes |
Yes |
|
Company Name and General Setup Options |
|
Yes |
Yes |
|
Test Equipment |
Yes |
Yes |
Yes |
|
Edit Chamber Records |
|
Yes |
Yes |
|
Sensors Position |
|
Yes |
Yes |
|
Edit Channel Configuration |
|
Yes |
Yes |
|
Default Chart Configure |
|
Yes |
Yes |
|
Default Data Listing Configure |
|
Yes |
Yes |
|
View Saturated Steam Tables |
Yes |
Yes |
Yes |
|
Test Specification |
Operator |
Manager |
Admin. |
|
Edit Test Specs |
|
Yes |
Yes |
|
Calculations |
|
Yes |
Yes |
|
Lethality |
|
Yes |
Yes |
|
Stages |
|
Yes |
Yes |
|
I-Calc Specs |
|
Yes |
Yes |
|
I-Calc List |
|
Yes |
Yes |
|
Tests |
Operator |
Manager |
Admin. |
|
Start Logging |
Yes |
Yes |
Yes |
|
Start Logging/ More |
|
Yes |
Yes |
|
Test Audit Trail |
|
Yes |
Yes |
|
Test Setup Report |
Yes |
Yes |
Yes |
|
Test Details |
Yes |
Yes |
Yes |
|
Calibration Records for Test |
Yes |
Yes |
Yes |
|
Edit Channel Configuration |
Yes |
Yes |
Yes |
|
Stages |
Yes |
Yes |
Yes |
|
Stages / Real time |
Yes |
Yes |
Yes |
|
Defective Probes |
|
Yes |
Yes |
|
Charts Display |
Yes |
Yes |
Yes |
|
Data Listing |
Yes |
Yes |
Yes |
|
Test Notes |
Yes |
Yes |
Yes |
|
Export / Import Data |
|
Yes |
Yes |
|
Re-Analysis |
|
Yes |
Yes |
|
I-Calc and Limit Report |
|
Yes |
Yes |
|
Crop Data |
|
|
Yes |
|
Historic Tests |
Yes |
Yes |
Yes |
|
Historic Tests / Configure |
Yes |
Yes |
Yes |
|
Data file management |
|
Yes |
Yes |
|
Archiving |
|
Yes |
Yes |
|
View |
Yes |
Yes |
Yes |
|
Add Signature |
Yes |
Yes |
Yes |
|
Report Lists |
Yes |
Yes |
Yes |
|
Report Lists |
Operator |
Manager |
Admin. |
|
Designer |
|
Yes |
Yes |
|
New Report |
Yes |
Yes |
Yes |
|
Delete |
Yes |
Yes |
Yes |
|
|
Yes |
Yes |
Yes |
|
Make PDF |
Yes |
Yes |
Yes |
|
|
Yes |
Yes |
Yes |
|
Copy |
Yes |
Yes |
Yes |
|
Report Sections – Add |
Yes |
Yes |
Yes |
|
Report Control |
Yes |
Yes |
Yes |
|
Report Sections – Edit |
Yes |
Yes |
Yes |
|
Report Sections – Delete |
Yes |
Yes |
Yes |
|
Report Sections – Print |
Yes |
Yes |
Yes |
|
Setup |
|
Yes |
Yes |
The 'System Administrator' can control the minimum length of password and ID from this window in the Password Controls frame. The password age limit is only used as a default in the password window.
To change a password, select the Change Password option on the Setup menu and enter your ID and password and you will be able to set up a new password.
To remind an operator of a password the ‘system administrator’ can click on the operators name on the list, the name should appear on the bottom right hand frame. Click on Renew Password and the next time the operator enters his or her ID, TQSoft will automatically force the operator to create a new password.
Highlight an operator and press De-Activate. The operator list should be updated to indicate the status.
De-activated operators can be re-activated again.
De-activated operators signatures will still appear as valid signatures.
A de-activated operators ID or password cannot be re-used for another operator.
Highlight an operator and press the buttons just above. Program functions are divided into a number of categories. The checkbox names should match the menu or button names.
Simply backup or move the operat3.ini file in the LOGSYS directory. This will transfer all ID's to another computer where signatures can be entered and validated. As a word of caution though, note that if a password is changed on one computer, it will not automatically be changed on another computer. Under no circumstances try to edit this file. If you try then all access to TQSoft will be lost. Because of this it is important to always keep an up to date backup of a good operat3.ini file in case the file is tampered with or corrupted.
Digital signatures require verification using keys and encryption.
TQSoft requires the use of a password before an ID can be put into a document. Once in a document, TQSoft will not actually print the ID (it is always encrypted), but instead prints the name associated with the ID.
Use the Add Signature button in Test Notes, Data Listing preview, Test Report preview, and calibration report preview. TQSoft allows two signatures to be added to each report. Signatures cannot be deleted.
Each time TQSoft prints a document with a digital signature indication, it will validate the ID in the document against its database of ID's (in the operat3.ini file). If the ID is confirmed then TQSoft prints VALID ESIG where the user would normally sign (see section Calibration Records Viewing Signing and Printing)
For the reason just mentioned, if test records are moved or sent to another PC running another installation of TQSoft, to validate the signatures the operat3.ini file needs to be present on that PC too. The way around this is to convert reports to PDF format and distribute these. (VALID ESIG will always appear on them on another PC).

TQSoft
automatically allows a signature to be added to calibration reports and test
records at the end of a calibration and test, with the window shown below. Note
that TQSoft defaults to show the currently logged in operator as the signatory,
but any person in the operator list can sign by pressing Esc, and entering his or her ID. (However, any person signing will
have logged in at least once in the past in order to set up their ID and
password.)
An operator's signature in digital graphic form can be considered the equivalent of a hand written signature. However the person concerned must sign an agreement that confirms that that this is so and that he or she agrees and understands.
The security window Add Signature tab allows the Administrator to select a signature graphic file for each user. The graphic should be in JPG format and it should be approximately length = 3 x height. Otherwise the graphic will look distorted when appearing in documents.
The electronic signatures must be imported into TQExpress templates and Word documents by configuring the templates to import the graphic. See the TQExpress manual sections for Data Source Special Functions for guidance.
Using the password controls provided in the Security window, the system administrator may:
control the minimum length users are allowed for new passwords and ID's.
set a default value for the age limit of new passwords.
Set the time allowed for inactivity. If TQSoft does not detect any button presses or key presses for this time, the password window will appear, and no other operations will be allowed until the password, or a new ID and password are correctly entered. Entering any value up to 00:00:11 will disable this feature.
New users will not be allowed to setup their ID and password in the inactivity timeout window for obvious security reasons.
See Appendixes for further information about
particular loggers that can be used with TQSoft. Many loggers need extra
support software to be installed. See also section 2.10 for setting up a
database record for the logger you will select here.
Choose the drop down menu Logger and then ‘Select type of logger’.

Select the correct
logger, baud rate and port. Most loggers have default settings that should
work. For other loggers you may need to look at the documentation to find the
required values. The drop down list on the comms port selection will indicate
which ports are available on the PC. It also lists which ports are used by the
thermal bath and reference probe hardware.
If you see an error report when pressing OK you need to try another selection. If you get no error report, then check that TQSOFT is communicating with the logger properly by using the Inputs Display button on the main toolbar. The values should be updating regularly, and you should be able to hear the logger scanning its inputs.
Use the logger control menu option on the logger dropdown menu to access a window individual to each logger.
Before doing any calibration, it is important to set up the channel configuration. The channel configuration is fundamental to the system. It describes what each channel on the logger is. It contains information about the type of hardware connected to the channel, the colour of the channel on the chart, and the format of the digital data collected from the channel.
TQSOFT allows you to set multiple channel configuration files. If you intend to use just one logger then you probably need use only one channel configuration file. If you wish to use more that one logger then you will certainly need a separate channel configuration file for each logger.
On the Setup drop down menu choose Edit Channel Configuration. You should see the window shown below.
Consult the logger manufacturer for the correct channel types. Important note: Please bear in mind that Editing the Channel Configuration files does not mean that your edits are used straight away. When leaving the edit widow, you have the option of downloading the file you have just edited, or you can use the option ‘Select Channel Configuration’ on the Logger drop down menu.
The File name
refers to the name of the channel configuration file, and can be found in the
installed LOGSYS directory.
The channel number goes from zero to the maximum number of channels available in TQSOFT and is shown here only to help you know what channel you are editing. Note that using the > and < buttons will allow you to access more channels than are supported by your logger. You need only set up those channels supported, and can ignore the rest.
The Label is a brief 6 character name that is used in the values display window and digital listing to identify the channels. Entering a label ‘TREF’ will allow a channel value to be used as a reference in a calibration. See next section to reference channels in TQExpress.
The fast measurement option only applies to the Anville logger. Please consult the Anville documentation for the meaning of this option
Channel type describes what sort of hardware you are using to measure temperature and pressure. If you select a 100mV thermocouple then you should normally enter 1 decimal place, if 10mV then you should enter 2 decimal places.
Anville: Supports all selections except +/- 5V
Fluke: Any thermocouple selected is sent as "TEMP,T" otherwise "VDC,AUTO" is sent.
Yokogawa 1800: The
The Units are selectable. Custom units can also be typed in. See Appendix G.
The Decimal places determines where TQSOFT places the decimal point in each of the channels values. This will normally be 1 or 2 for temperatures, 3 for bar pressure or 0 for mb pressure. The decimal places will normally depend on the Probe Type selection.
Chart colour determines the colour of the channel trace on a colour screen and colour printer. Either select from 16 basic colours, or select from a palette.
The location of the sensor can be entered here. The locations are be printed in the digital listing report, the chart trace ID panel, and in the sensor locations report in TQEXPRESS. Note that sensor locations entered here do not have priority over locations entered into the probe location column in the Test Specification. The location entered here will only be used if no location is entered into the Test Specification. See next section too.
The channel locations are now held in the Test Specification Probes tab. If you are using TQEXPRESS to analyse your data files then you can use either the channel name, or location, to help TQEXPRESS automatically identify the number of certain sensors, as shown blow. The letter combinations are as follows (in bold) and case independent;
Chamber Pressure Sensor PRES
Chamber Spray Pressure Sensor SPRAY
Drain/Vent Sensor DISCHARGE or SUMP or DRAIN or VENT or FREE or CHAMBER.
Chamber Free Space Sensor FREE
Test Pack Sensor PACK or TEST or LOAD or CENTRE
Top Pack Sensor (Top Sheet) TOP
Bottom Pack Sensor BOTTOM
Water Reservoir Sensor WATER
or RESEV
To exclude from sterilization analysis. N/A (in label), NOT USED (in location), WATER, RESEV, DRYER, CJC.
Be careful not to include the same letter combination in two sensor names or locations. If you do the program will pick up the first sensor that qualifies.
Note that Water Reservoir sensor is excluded from the automatic sterilization analysis. I-Calcs are not affected by these settings.
In the channel configuration on the channel type list you will see an option called OFF. Selecting this will ensure that the Inputs Display window always shows OFF, and that the channel cannot be selected for a calibration.
Most users will use just one calibration file, since they will re-calibrate sensors before each testing session. For each set of sensors that you use you can set up a calibration file that contains adjustments for each channel as well as the most recent calibration and calibration checking details.
Calibration and calibration checking of thermocouples will normally be performed by comparison with a traceable reference value using the calibration procedure in TQSoft covered in the next section. Calibration of thermocouples in TQSoft is more accurately termed calibration adjustment, since the true calibration of thermocouple voltage into Celsius is performed in the logger using standard tables based on pure metals.
Calibration of other sensors such as pressure transducers is known as ‘scaling’. Some loggers allow scaling range to be entered directly in the TQSoft channel configuration window. The loggers that allow this can be programmed with the scale range information. (This is done automatically by TQSoft when downloading channel configuration). Loggers that allow scaling do not need transducers to be calibrated manually as described in the next paragraph.
Scaling can also be done using the Manual Calibration Adjust option on the Logger menu to enter a measurement value in, for example, volts, and an actual value in scaled units. The TQSoft calibration procedure can also be used but is effectively the same as entering measured and scaled values at two points either end of the transducer range. As with temperature a scaled reference value is required, but must be manually input.
This version of TQSoft supports up to 16 calibration points manually input, but the automatic calibration will still calibrate a maximum of two setpoints.
To get to the calibration file window select Calibration Files from the Logger drop down menu. Each calibration file is represented by the thermal bath icon. Click on one to see the channel settings.
Channel settings (label, type, units) are taken from the current channel configuration until a channel is manually calibrated or a test is run, when the settings are fixed. If a TQSoft calibration procedure is performed channel settings are always renewed from the current channel configuration selected.
It is important that Test Specifications have compatible channel configuration files and calibration files. For example if a channel configuration has channel 16 set as a pressure channel, but user selects a calibration file with a thermocouple adjustment stored at channel 16. This is normally avoided by the good practice of calibrating sensors using the correct calibration file before testing.
Setpoints can be added to a channel by using the Manual Calibration Adjust option on the Logger menu, and clicking on a channel icon. Setpoints can be edited by using the Manual Calibration Adjust option, and clicking on a setpoint.
Sensor usage can be accessed in the Calibration Files option on the Logger menu.

If the Calibration Files window shows an entry called Usage Criteria, TQSoft can be used to monitor and alert usage of sensors. Click on the range(s) to see usage limits set for specific temperature ranges. Ranges can be customized in a file called UC.INI.
Usage of each sensor can be seen by double clicking on a calibration file and then on a channel. An entry called Usage may appear and will show the number of tests and time of use.
When sensors are used outside limits set alarms will appear when logging is started.
A sensor uses a range according to the maximum temperature that it has been used at. Usage can be reset here with the Reset button.

To
perform a calibration you should have set up a calibration file first, however
the program is installed with an example calibration file that you can use. To
start a calibration select Calibration
from the Logger drop down menu.
This is very
important. The calibration results (factors and offsets) will be stored in
this file and will overwrite existing values. Make sure you have selected the correct calibration file.

The calibration details form shown here will normally be filled in automatically for you. The operator name comes from the password that you entered. The date and time come from the PC clock. The Job Ref is the job reference last entered either here or in the start test window.
The calibration file selection is most important. The results will be stored in this file and will overwrite existing values. Make sure you have selected the correct calibration file.
During calibration TQSOFT will use the most recently used Channel Configuration file. If you are using multiple channel configuration files or if you have just started using TQSOFT you should check that you have the correct one selected by pressing Cancel and using the select Channel Configuration option on the Logger menu.
Next you will be required to select what channels you want to calibrate. The program checks your selections and alerts if your selections are not viable. There are some rules that must be followed. Channels configured as thermocouples cannot be calibrated together with a channel configured for a pressure transducer. With Sterimizer, multiple temperature calibrations have to be selected contiguously from the start of a temperature ‘block’.
.The calibration setup window shown here should appear.

Setpoints
The Low Point must be at least 10 degrees below the
You have the option of doing the
Options
The automatic check box will only be
enabled it you have a Thermal Bath set up and TQSOFT has successfully
communicated with it before this window appeared. With the automatic option
selected TQSOFT will itself program the bath setpoint temperatures, and monitor
stability requirements, and will complete the whole calibration without the
need for operator input.
Configuring a channel with label ‘TREF’ will enable the calibration to
use the channel value as a reference.
Stability and Reporting
With a non-automatic calibration,
you do not need to use the stability criteria, because you can instruct TQSOFT
to calibrate when the values are seen to be stable enough. However, even in
non-automatic mode, TQSOFT will display a stability countdown, and you can use
the countdown as an accurate judge of the quality of stability achieved.
ALL probes selected for calibration
must achieve the stability criteria, here for example it is 0.2 degrees for 3
minutes. If these are left blank, then TQSOFT does not display a stability
countdown.
The allowed deviation from Reference
is applied as soon as the calibration is calculated. If the difference between
any uncalibrated probe value, and the reference value, is greater than this
figure, then the probe is labelled as a BAD probe in the calibration report. The allowed
deviation is applied at Low and High points.
The reference stability criteria is
simply the biggest drift allowed for the reference value in one minute. A
countdown is provided for this too, and is reset as soon as the reference value
drifts too far. If the entered setpoints are being used as reference values
then this criteria is irrelevant since the setpoints do not drift!
The report duration and interval are
used to generate a (post calibration) report on the calibrated values after
High and Low point calibrations. Leave these boxes blank to skip out the post
calibration reporting altogether. The report
max. deviation allowed is a limit on the difference between each channels’
value and the reference value during the report interval. If the difference is
exceeded the channel will have a FAIL notice appear in the calibration report
results section.
When OK is pressed the stability
monitoring window should appear.

![]()

2.5.2 The
Post Calibration Report Window
If a report time and report interval have been set up, the report window will appear after any setpoint calibration.

At the completion of calibration TQSoft shows the calibration records window with the calibration just completed highlighted. See section 4.7 Calibration Reports Viewing and Printing for further information. The calibration report is also automatically archived if the archiving option is configured.
The calibration report contains 2 lines at the end of the report after adjustment section labelled standard uncertainty and combined uncertainty.
Standard uncertainty is a calculation on
each deviation listed in the section and is estimated standard deviation / square root of
number of samples.
Combined uncertainty is the square root of the sum of the squares of
the uncertainties of the logger and reference, and above mentioned
deviations.
The manual calibration adjust window on the Logger menu allows the calibration setpoint measured and actual values to be manually adjusted. See the Calibration Files section above for more details, and for details of how to add more than 2 setpoints.
All changes are also logged in the audit trail.
The Advanced calibration procedure can be used much like the standard calibration window outlined above for automatic or manual calibrations or calibration checks. The additional advanced features are.
Use the Name box to enter a name, and use the Save dropdown menu option to save the complete window setup for retrieval later.
Build a list of your calibration setups which can be accessed with the Name dropdown list, or the menu item Select Setup.
Manage calibration setups. Add new ones by changing the Name and using Save Setup. Delete with menu item Delete.
Calibrate or check up to 10 setpoints.
Perform calibrations and checks independently of other TQSoft tasks.
The Advanced Calibration Procedure is particularly useful for calibrating and checking remote loggers.
For both procedures below, use a calibration file that has logger ID’s setup correctly.
When data is being collected from the logger,
and Calibration Active setting is set ON, measurements will be
adjusted by the software before display and storage.
The corrections can be seen in the Inputs
Display window by holding the mouse over the measurement values. The sensor
adjustment and logger adjustment will be displayed. Logger adjustment is
normally only used by TQAero.
The process used is as follows:

Test Specifications should be setup carefully with full regulatory guidelines in mind before on site testing.
Test Specification files are fundamental to TQSOFT. They contain most of the information required to record a test. Some information, such as the Chamber being tested, cannot be known until just before logging. Test specification files should be set up and tested before getting to site, and can then be re-used.
To access test specifications choose Edit Test Specifications from the Setup dropdown menu.
The window will look like the one shown
below, but if you are using certain loggers/recorders there will be an extra
section for parameters specific to each type of logger. Information on the
logger specific parameters can be obtained from the technical documentation for
the logger. See section Logger Specific Specifications for more details.
The select
Test Specification name window will appear. This allows Test Specifications
to be managed using the buttons.


Name is used to ID the test specification and in the identification of chart and data listing reports.
Temperature Units and Pressure Units are included here so that a test record ‘knows’ which units it is specified in, independent of the TQSOFT installation being used to view the record. Note that these settings are independent of the unit selections in the channel configuration file. It is left up to the user to check the consistency of unit selections. The saturation calculations will use the units selected here.
The scan interval is used to set the minimum scan rate for the test. The rate will be constant throughout the test, but stages can be configured to display data at different intervals for a digital report. If the scan interval is left blank, TQSoft logs scans as quick at the logger will allow.
Estimated Test duration is used by battery loggers to limit the data collection. For other loggers its used only to size the chart for real time monitoring. It is important to get this right of you wish to use the real time chart monitoring system. Note that in version 3 the format has changed to dd:hh:mm to allow much longer chart monitoring.
Version and date of revision is a means of tracking modifications to test specifications.
The calibration file specifies which set of calibration values will be activated and used when the test is started. The small button to the right of the selector will show the manual calibration adjust window with the correct file expanded.
The channel configuration file is the channel configuration that will be loaded and used once the test is started. This is clearly of great importance, and depending on the logger used, the logger may automatically be updated with the specified channel configuration. See the appendices for individual logger functionality. Select the channel configuration file before selecting probes. The small button to the right of the selector will show the channel configuration window with the correct file shown.
The Measurement Rate panel only appears for Fluke Hydra III and Validator. It allows the measurement rate to be controlled for each test. It will limit the scan interval. For Fluke if scan interval is too small for measurement rate, software will scan as quickly as possible but rate that will be achieved is not shown here.
Sterilising/Disinfection/Target temperature
Will allow default limits to be set in the I-Calcs tab based on the sterilization or disinfection temperature. The I-Calcs will draw lines and shaded areas on the chart, and colour data on the data listing. The default I-Calcs are:
·
Specified Temperature Chart
Shaded Area.
This draws a shaded box on the chart between lower and upper temperatures specified. It also triggers use of legacy limits which make Data List temperatures blue above lower temperature, red above upper temperature from Cycle Start to End. To remove this legacy colouring either delete or rename this I-Calc.
·
Specified Temperature
This will draw a line on the chart at specified temperature and make temperatures above specified temperature red on the Data List from Cycle Start to End.
·
Specified Temperature upper
limit
This will draw a line on the chart at specified temperature plus 3, and make temperatures above specified temperature plus 3 red on the Data List from Cycle Start to End.
Will also be used by the Stage Analysis to automatically insert the Start and End stages.
It will also be used by the TQEXPRESS analysis engine to trigger the sterilization/disinfection analysis.
It may also control the time at temperature indicators in the Status window, provided that the lethality tab option Use these settings for time at temperature calculation is OFF.
Adjustment of this temperature will also allow equal adjustment of I-Calc limit values which is useful for a large set of I-Calcs. Deviation I-Calcs and non-temperature I-Calcs are not auto adjusted. Don’t use auto adjustment if you have other temperature I-Calcs that are not related to this temperature value.
The Stage Analysis option forces TQSoft to insert the Equilibration Start, Sterilisation Start and End into a test automatically as logging progresses.
A hysteresis of 0.25 degrees is allowed.
With this option checked, TQSoft will display a hold time message 20 seconds after the end of the hold time. The message will indicate the hold time.
If this option is not checked, and the stages are added manually, the analysis will use the times of the stages inserted for TQExpress import calculations.
The stage names can be customized by editing the file stages.lab in the LOGSYS directory. If you want to change the name Sterilisation Start it is best to move it to the top of the list, since if TQSoft cannot match Sterilisation Start, it will use first stage with CODE 13 in the list. You can delete any stages that are not applicable.
The Use 24 hour clock option controls the format of time in the test record. If checked, time will be stored as actual time of day, if unchecked time will be stored as time offset from the start of the test.
The button with Data List icon is used to control some format options for the Data Listing. When the Test Specification is created the Default Data Listing Configuration (Setup menu) is used. This can then be modified to suit.
The button with Chart icon is used to control some format options for the Chart. When the Test Specification is created the Default Chart Configuration (Setup menu) is used. This can then be modified to suit.
The auto stop logging after allows you to automatically switch off logging a set time after a
test has started. Having
this checked allows the continuous
monitoring check box to be used.
This will have the effect that TQSoft will automatically re-start logging with
the next incremental test number available.
Having continuous monitoring checked allows the start new file at midnight option to be used. This will have the effect of automatically starting a new logging file when midnight passes. Set auto stop logging after to at least 00:12:00 (dd:hh:mm). Please note that this is 12 hours. Setting auto stop logging after to, for example, 02:00:00 (dd:hh:mm), which is 2 days will then force a new file to be generated every second midnight.
Log off channel and log off temperature can be used to switch off logging when a specified channel has exceeded and then drops below the specified value. Enter “90” or to wait for all selected temperature channels to drop below the specified value.
Limit lines on the chart can now be setup using the Chart Line type of I-Calc. Limits lines can be created automatically when initially entering (into a blank text box) a Sterilization or Disinfection temperature and then pressing Enter. See section 2.6.6.2 What happened to Version 2 Limits?
This section of the Test Specification allows calculated channels included in Chart and Data Listing as extra traces or extra columns of data. These are different from the more complex I-calcs described later.

Calculations can be included in TQSoft reports by setting them up to appear by default here.
These calculations will not include probes that have the following references in the probes tab location settings....
"NOT
USED"
"REFERENCE
CHECK"
"WATER"
"DRYER"
"RESEV"
"FREE"
"CJC"
The saturation calculations must be set up here by selecting a channel to base the calculation on, and selecting the units to use in the general section (see above). The saturation calculations are based on formulae quoted in ‘The International Association for the Properties of Water and Steam’ 1997. They can be validated using the option View Saturated Steam Table on the Setup menu.
If you change the channel configuration file selection in the general settings, then the saturation channel selections are automatically blanked by TQSoft.
D-Value is time required at temperature T to reduce a specific microbial population by 90%.
Z-Value is the number of degrees of temperature change necessary to change D-Value by a factor of 10.
D-Value and Z-value are
not calculated by software, they are properties determined by labs.
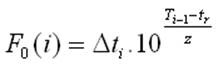
F(0) is a
measure of kill at (minutes at Base
temperature 121.1C) and requires a formula to calculate when temperature is
not exactly 121.1C
A(0) is a
measure of kill at (seconds/minutes at Base
temperature 80C) and requires a formula to calculate when temperature is
not exactly 80C
User has to input the Base
temperature and Z-Value parameters into TQSoft so formula will work correctly.
F(0) and A(0) are 2
lethality calculations, TQSoft can show all lethality calculations in real
time.
At end of a
qualification user can see lethality’s and can compare with the known D-Value.
TQSoft does not need to
consider D-Value, user decides the lethality they want to achieve, based on the
D-Value, and can input that in TQSoft as a target that should be achieved.

The F(0), A(0) option can be used to simplify the frame and insert standard values for these calculations.
The Z value and Base temperature (tr) are both used for the lethality calculation
Basic Formula……If successive temperatures T(i) = T(i-1)

Enhanced Formula….If successive temperatures T(i) <> T(i-1)


If base temperature is left blank, lethality calculations are switched off.
If Enhanced Lethality Formula is not checked the basic formula is used even if T(i) <> T(i-1). This is the standard method. The enhanced formula yields better results for heat up and cool down phases when temperatures are rapidly changing between readings.
Full lethality in data Listing is used by the listing report as a default. The F calculations can be switched on and off from the digital listing window itself.
Minimum lethality is a calculation that can be included by default just like the calculations section.
Minimum Instant lethality is a calculation that can be included by default just like the calculations section. If this is ticked,and Minimum lethality is not ticked, the Data List will show instant values in each row instead of the default accumulation.
Chart to show lethality axis is a setting that will override the default pressure axis on the right hand side of the chart.
Select
Probes allows the lethality calculations to be
performed only on certain probes.
Start lethality on is a means of only calculating the lethality above a certain temperature for selected channels. The stage selector will trigger the lethality calculations when the stage is inserted into the test. If both are selected the condition is AND.
End lethality on allows the lethality calculations to be stopped at a particular stage.
Temperature/Pressure Correlation limit allows user to setup a limit which will apply to all channels selected for this lethality calculation. The saturated pressure equivalent for each channel is compared to the pressure value of the channel specified on the Calculations tab. If any temperature is outside the limit, the lethality calculation is reset or suspended according to the Reset lethality if correlation over limit check box. The correlations can be viewed in real time in the Status Window.
Use these settings for time at temperature calculations will make the time at temperature for each channel accumulate whenever the lethality is accumulating. If not set the time at temperature will depend on the Sterilization temperature on the General tab. These time at temperature calculations are ‘in-built’ and are separate from the Show time accumulation option in the I-Calc Actions tab. The I-Calcs are in some ways more flexible, but cannot be configured to correlate with the saturated steam pressure.
Please note that all lethality calculations are redone when user makes a historic adjustment to the lethality settings tab.
.

This section lists the channel labels and locations of the probes selected to log for this test specification. The names displayed in the list depend on the channel configuration file selected for this test specification.
The location column is editable by clicking on a location box, or pressing SPACE key. Edited text is shown in red, then press ENTER when edit is complete. Up to 60 characters can be entered but only 40 can be displayed on the Test Setup report.
Note that TMI loggers have a special use for location. See Appendix M.
To assign a probe to a group use the group number anywhere in the location text in {} brackets. For example to assign Channel 6 to group 1 add {1} anywhere in the location. See the examples in the picture above.
Groups are used for I-Calcs and the group number can be used instead of specifying each channel. This is very useful when there are large numbers of I-Calcs and a change must be made to the channel assignments.
Groups can also now be selected in charts, data list and report lists.
Additionally, each group can be assigned to a different chamber. This allows user to have groups of sensors in different chambers for simultaneous testing, saving much test time. The selected chamber details will appear in the group reports.
The stages tab is optional, and can be used to set up a stage list for each test. This is then used when the test is running to aid the operator entering stage times as they occur. However, the stages and times can also easily be entered historically, once the test is finished.
![]()
The window for setting up a stage list for a specification is
shown below, and is accessed by pressing the Stages button on the Stages
tab.
The list
on the right is the set of stages set up for the test specification. An
interval is used to produce a digital summary of the data, and is configurable
on a stage by stage basis. You can change the interval either on the list of
all stages or on the test list on the right with either interval button as
shown.
This version of TQSoft ships with an I-Calc Wizard function. This is recommended as the best way to become familiar with what is possible with I-Calcs. To access the Wizard, go to the I-Calc List tab of a Test Specification, and double click on one of the I-Calcs, or if there are none press New button then double click on the New item.
The wizard will display notes on each of the I-Calc types and options available, changes to an I-Calc will not be saved until the end of the Wizard and the back button can be used at any time to abandon changes.
If the next button will not advance, and switched curser focus to an empty box, the window requires further input to proceed.
The old I-Calc configuration window is still under the I-Calc Specs tab in the Test Specification window.
I-Calcs are not the same as the derived channel calculations on the calculations tab. I-calc, short for interval calculations, allow the user to set up calculations on selectable groups of channels, to be performed over a period of time. The period of time is specified by using the stages in the test stage list. Calculation results can be included as messages in the Data Listing, and are accessible by TQEXPRESS forms. Furthermore, limits can be setup for I-calcs which then allow a number of actions to be performed if a limit is breached. This includes the ability to insert a new stage into a test record which can in turn be used to start or stop other I-calcs.
Up to 256 I-Calcs can now be created in a test Specification.
I-calc results are all generated automatically in real time and so can be used by a continuous monitoring application to compare each test with specifications generated from a validation, and alert any deviations.
I-calcs can also be constructed and applied historically, allowing historic records to be processed, and also allowing I-calcs to be designed and then tested instantly.
To help setting up I-Calcs we have provided discussion of an example EN554 Test Specification below which should be more helpful than considering each software option in isolation. It is hoped that the engineer will quickly appreciate the functionality once the worked examples are studied.
ICALCS and Limits were designed for the following application areas. To understand whether and how to use them it is essential to identify the area concerned.
In order to set up validation calculations required or recommended by the various regulatory organizations or in house SOP, with optional limits that can highlight failed calculations and the tests that they occur in. Note that this will include interval calculations as well as the TQEXPRESS analysis engine calculations that are performed at the end of a test.
In order to set up limits based on channel values or calculations that can be used to insert standard or custom stages into a test. (See 2.11.1)
In order to set up calculations with limits that can be used for long term automatic monitoring of sterilization processes. In this case there are several other functions added in version 3 that will be required.
In order to set up limits that TQSoft monitors for long term continuous monitoring of facilities and plant. In this case there are several other functions added in version 3 that will be required.
The I-Calc list allows I-Calcs to be generated and managed quickly. For example, when you have completed and tested one called ‘Max 1’, calculating the max of channel 1 during sterilization. Now highlight Max 1 and press the new button and answer duplicate. A new I-Calc should appear called Max 2, with the channel selection automatically at channel 2. This way lists can be quickly generated.
Groups of I-Calcs can also be selected and by editing one of the group the channel selection, start stage and end stage of the entire group can be amended in one operation.
Groups of I-Calcs can also be deleted and copied to another test specification.
During initial use of TQSoft It will often be the case that engineers will log a test, and then add or modify I-Calcs of the test, and re-analyse until calculations are setup correctly. When modifying I-Calcs historically like this, modifications and editions can be sent quickly to the original test specification (that will be used for new tests) using the Send function on right click of an I-Calc.
To create an I-Calc press the New button. If an existing I-Calc is highlighted, it will be duplicated as a new one. If existing I-Calc was not highlighted, the I-calc tab should look like this;

These are the default entries. Now it is a matter of deciding which sort of I-Calc to select from the Type selection list at the top left.
If a Test Specification is saved with I-Calcs with duplicate names, a (2) is appended to the second name.
It is important to have a clear idea of the calculation that is required. To illustrate the potential confusion consider the diagram below;
The Max and Min gets the result maximum – minimum probe value for whole interval.
The Max Deviation gets the maximum difference between probes at any one point in time for the whole interval.
The difference between Max and Min of Maxs gives the TQSoft calculation (Max-Min) of Maxs.
In practice the results of calculations 1,2,3 could be very different as you can see here;

In practice, to get the maximum fluctuation of each probe individually, we need the Max-Min result shown below, over an interval.

There is also the crucial distinction between continuous monitoring and interval monitoring. The simplest case is Max probe value. Putting a limit on a Max calculation for an interval will get a simple report of the result, placed where the Max occurred, and the result will either pass or fail the limit values.
The same limits applied with continuous monitoring will cause an event to trigger whenever the Max value goes above an upper limit, or below a lower limit. A report will appear where the triggers occur, not where the overall Max value occurs. The overall Max value will not be reported.
So Max probe value calculation applied continuously is a completely different concept to Max probe value applied to an interval. The same applies to all the calculations.
Where TQSoft is so powerful is that it allows continuous monitoring to be done during intervals.
In general you will use continuous monitoring of temperature to trigger the insertion of stages such as the sterilization start, equilibration start and lethality start stages, and interval calculations to check the process performance between the inserted stages.
Continuous monitoring can also be used to make I-Calcs appear on chart and data list Use the Test Spec I-Calc action plot calculation on chart/data list. The hide interval probes will hide probes that make up the calculation, but not for the data list.
Another important use of continuous monitoring is calculating humidity based on a dewpoint sensor connected to the measurement unit and located in the chamber. One I-Calc can be setup for each temperature measurement instead of separate humidity sensors. TQSoft uses this formula to calculate humidity:
100 * (Exp((-6096.9385 / (273.15 + dpv)) + 21.2409642
- 0.02711193 * (273.15 + dpv) + 0.00001673952 * (273.15 + dpv) ^ 2 + 2.433502 *
Log(273.15 + dpv))) / (Exp((-6096.9385 / (273.15 + t)) + 21.2409642 -
0.02711193 * (273.15 + t) + 0.00001673952 * (273.15 + t) ^ 2 + 2.433502 *
Log(273.15 + t)))
Use this if you simply want to display a line on the chart, or a shaded area. It can also be used to draw a line between two stages.
Only the upper and lower limit values are drawn on the chart (not target), but the target can be used to draw an upper or lower line based on % from the target. In this case be sure to use % as the units selected for the limit values.
Ensure that the show on chart is checked.
Ensure that correct units are selected.
Enter both upper and lower limits to shade an area.
Use this if you want to insert a stage message into the Data Listing and chart when a particular event occurs. This might be used to insert a sterilising start stage when the Min Lethality calculation has reached a certain value.
A stage is only inserted on the first event occurrence. If, for example, a minimum temperature is monitored and is triggered, the stage insert will not be triggered again if the temperature subsequently re-triggers.
It is IMPORTANT to ensure that the Start and End stages are selected correctly. These would normally be Cycle Started and the stage that is being inserted. If, for example, a stage such as Sterilization Start is used as the start stage, TQSoft will not look to insert the stage message until after sterilization has started.
If hardware supports Digital IO, the Trigger on Digital Inputs selector can be used to insert a stage when any IO channel changes state. Stage will not be re-inserted if state subsequently changes again.
If hardware supports Digital IO, the Digital Outputs LOW and HIGH selectors can be used to manipulate the digital outputs. Check which input state corresponds to LOW and HIGH with a meter. (The Digital IO window on the logger menu can toggle output state, LOW is checkbox ON, HIGH is checkbox OFF.)
This is the most complex I-calc. Use this to alert and insert alert messages on a continuous basis. It is designed more for facilities monitoring where channels can go out of, and in to specification on a number of occasions.
The start and end stages can be used to limit monitoring to certain periods.
When events re-occur, the actions are re-triggered. This is the main difference from the previous type of I-calc.
A hysteresis can be programmed to prevent frequent spurious triggering around the limit value. The hysteresis values are entered as proper values, NOT offsets. So, for an upper limit of 40 degrees, a hysteresis might be entered as 41 degrees.
Hysteresis can also be entered as a time format hh:mm:ss. In this case the limit will not be checked until this time has elapsed since start of the interval.
If hardware supports Digital IO, the Digital Outputs LOW and HIGH selectors can be used to manipulate the digital outputs. Check which input state corresponds to LOW and HIGH with a meter. (The Digital IO window on the logger menu can toggle output state, LOW is checkbox ON, HIGH is checkbox OFF.) The output state will be reset if the I-Calc limit goes back into specification.
Use this if you want to insert a calculation based on the time between any two stages in the test. The calculation will be performed when the end stage occurs.
Be sure to enter start and end stages correctly, calculation will not appear if either stage does not occur.
This I-calc differs from the Stage/Message insert because the calculation is inserted as a stage AFTER the end stage, NOT when the limit is exceeded.
If the limits are exceeded the stage is displayed in red in the Data Listing, and the highlight test option can be used to turn the test record red in the Historical Test list.
If hardware supports Digital IO, the Digital Outputs LOW and HIGH selectors can be used to manipulate the digital outputs.
Is RESERVED FOR FUTURE USE. These HTM2010 calculations are not presently validated and rely on the TQSoft channel configuration containing correct channel identifiers for Drain, Load etc. Moreover there is no ability to specify channel groups or stages for calculations. The calculations are based on the TQEXPRESS analysis engine.
Note that all calculations will include the values of the scan of the start stage, but will NOT include the values of the scan of the end stage. The exception to this is if a Time Offset is programmed into the I-Calc, then the values of the end stage scan ARE included.
Returns the time elapsed between two stages. So can be used to monitor the period of time a specified condition exists during the test, e.g. time probe X or probes X,Y,Z were in excess of a specified temperature.
This function will insert specified stage once the time specified has elapsed from the specified start stage.
This function will return the HIGHEST value a sensor or specified group of sensors achieved within a specified period.
This function will return the LOWEST value a sensor or specified group of sensors achieved within a specified period.
Multiple
This calculation displays the maximum value in the data list stage but it stores max, min, average, standard deviation and uncertainty in the Interval Analysis section for import into summary sheets. This does reduce the number of I-Calcs required for some summaries.
This function will monitor the specified max and min limits. Any values outside either limit will cause the I-Calc to insert the specified stage or perform the specified actions. If an upper limit beach is in effect a co-incident lower limit breach will not be reported. If its critical to see both use separate I-Calc for each upper and lower. This I-Calc is useful to signal an overall PASS/FAIL over a furnace stability phase.
This function will return the maximum DIFFERENCE between the HIGHEST and LOWEST values of a sensor or specified group of sensors achieved within a specified period.
Max Single Fluctuation
This function will return the maximum individual sensor DIFFERENCE between the HIGHEST and LOWEST values, from a specified group of sensors within a specified period.
This function returns the maximum MKT of a group of probes over the specified period.
This function returns the minimum MKT of a group of probes over the specified period.
This function will return the maximum DIFFERENCE between the HIGHEST and LOWEST values a sensor or specified group of sensors achieved DURING A SINGLE SCAN within a specified period.
This function will return the minimum DIFFERENCE between the HIGHEST and LOWEST values a sensor or specified group of sensors achieved DURING A SINGLE SCAN within a specified period.
This function will return the AVERAGE value a sensor or specified group of sensors achieved within a specified period.
This function will return the HIGHEST value of a specified group of sensors’ MINIMUMs achieved within a specified period
This function will return the LOWEST value of a specified group of sensors’ MAXIMUMs achieved within a specified period
This function will return the DIFFERENCE between the HIGHEST and LOWEST values of the MAXIMUM values of a specified group of sensors achieved within a specified period.
This function will return the HIGHEST LETHALITY value a sensor or specified group of sensors achieved within a specified period. The lethality calculation itself MUST be set up correctly separately in the Lethality tab. The channels selected in this calculation must be included in the lethality channels for this calculation to work.
This function will return the HIGHEST LETHALITY value a sensor or specified group of sensors achieved within a specified period. The lethality calculation itself MUST be set up correctly separately in the Lethality tab except for the specified period. The channels selected in this calculation are also independent from those in the lethality tab.
This function will return the LOWEST LETHALITY value a sensor or specified group of sensors achieved within a specified period. The lethality calculation itself MUST be set up correctly separately in the Lethality tab. The channels selected in this calculation must be included in the lethality channels for this calculation to work.
This function will return the LOWEST LETHALITY value a sensor or specified group of sensors achieved within a specified period. The lethality calculation itself MUST be set up correctly separately in the Lethality tab except for the specified period. The channels selected in this calculation are also independent from those in the lethality tab.
This function will monitor a specified group of sensors for rates of change over specified interval. If the max or min exceeds limits then the I-Calc can trigger the specified events.
This function will report the standard deviation of all the measurements of a specified group of sensors over a specified interval. The population formula is used:

This function will report the max/main
standard deviation of the standard deviations of a specified group of sensors
over a specified interval. The population formula is used
This section looks at the I-Calcs set up in the EN554 demo. It is best to have TQSsoft running in front of you while referring to these sections. Each is explained in detail and so reading through all of them is somewhat repetitive. It is intended that each I-calc here serve as a self contained example for the goal described in the section headings/.
The first I-calc is a Chart Line, note the I-calc 1 of 13 indicator just above the arrow buttons, and is simply two limit values which can be drawn on the chart between the stages specified. See section What happened to Version 2 Limits above for discussion of special names for chart lines.
Chart limit lines can be drawn between two specified stages and be coloured with the Show on Chart option.
This I-calc uses the Stage/Message Insert function. This monitors continuously once the Start Stage has occurred, in this case it is ‘Cycle Started’.
It
will stop monitoring when the End Stage occurs, in this case ‘Cycle
Complete’.
Using the calculation selection button which is located just to the right of the calculation section and field, the Max Probe value calculation has been selected from the Monitoring calculations.
If the Max probe value, from channels 1,4,7,11,12, goes above the upper limit of 134.0, then the Insert Stage entry ‘Equilibration Start’ will be put into the test record stages list. Once the stage is inserted, the function is effectively switched off, even if Max probe value goes below 134 and then goes back above again.
The Time Offset can be used to insert a stage at a time offset from the time the I-Calc limit is triggered. It can be negative or positive and can be in seconds or hh:mm:ss format.
This feature will be mainly used if it is required to position the Sterilizing End stage back a few seconds before the measurements actually go below the sterilizing temperature. This will give a more precise value for the Sterilizing Stage time.
As mentioned before, I-Calcs that do things like calculate minimum temperature will NOT include the scan values at the end stage. However, if a Time Offset is programmed calculation WILL include the scan at the end stage.
The Hide on Chart and Hide on Data List options can be used to hide the stage entry (not to be confused with the limits on the Limit Values tab).
Display Message option can be used to put a message window in the computer screen.
The third I-calc uses the Calculation on Whole Interval function. The goal here is to place limits on the equilibration time. We want to set a maximum of 15 seconds.
To do this we want to measure the time between the ‘Equilibration Start’ and ‘Sterilization Start’. To accomplish this the Start and End Stages are, quite logically, ‘Equilibration Start’ and ‘Sterilization Start’.
Using the calculation selection button which is located just to the right of the calculation section and field, the Equilibration Duration value calculation has been selected from the Interval Analysis calculations.
Interval Probes are not required fro this calculation which is on time.
The upper limit is set as 00.00.15 and units must be selected as hh.mm.ss.
Display Message option can be used to put a message window in the computer screen.
The Highlight Test option can be used to cause the record to appear red in the historical test index, should the Interval duration exceed the limit. If re-analysing a test the historical test index must be redone with the Remake button to register a change in colour.
The problem with hold time monitoring is that the lowest temperature will have just reached 134.0 when the Start Sterilizing stage occurs and the temperatures will drop off rapidly just before Sterilisation End. You can use the zoom box on the TQSoft example test record to see this. This fact will usually make a test fail most of the EN554 fluctuation and deviation calculations.
The solution is to insert two stages, one shortly after Start Sterilizing, another a set time into the hold time, and then use these stages for all the hold time interval calculations. Here I have called these stages ‘Start EN554 Hold Time Monitoring [INT:00.00 CODE:51]’ and ‘End EN554 Hold Time Monitoring [INT:00.00 CODE:52]’
This I-calc uses the Stage/Message Insert function. This monitors continuously once the Start Stage has occurred, in this case it is ‘Sterilization Start’.
It will stop monitoring when the End Stage occurs, which can be the stage being inserted ‘Start EN554 Hold Time Monitoring [INT:00.00 CODE:51]’.
Using the calculation selection button which is located just to the right of the calculation section and field, the Stage Insert on Elapsed Lower Limit Time calculation has been selected from the Monitoring calculations.
Once the Sterilization Start stage has occurred, a timer will start. The lower limit is set at 00.00.15 hh.mm.ss. So after 15 seconds the ‘Start EN554 Hold Time Monitoring stage’ will be inserted.
Interval probes are not required for this calculation which is based on time.
The Time Offset can be used to insert a stage at a time offset from the time the I-Calc limit is triggered. It can be negative or positive and can be in seconds or hh:mm:ss format. See 2.6.6.6.2 for more details.
The Hide on Chart and Hide on Data List options can be used to hide the stage entry (not to be confused with the limits on the Limit Values tab).
Display Message option can be used to put a message window in the computer screen.
The approach here is very similar to previous I-calc, except that the stage is inserted three minutes after Sterilization Start.
This I-calc uses the Calculation on Whole Interval function to measure the Max probe value between the ‘Sterilization Start’ and ‘Sterilization End’. To accomplish this use these stages as shown.
Using the calculation selection button which is located just to the right of the calculation section and field, the Max probe value calculation has been selected from the Interval Analysis calculations.
Interval Probes are required here. Note that a free space probe can be left out of the calculation.
The upper limit is set as 137.0 and units must be selected as °C.
Display Message option can be used to put a message window in the computer screen.
The Highlight Test option can be used to cause the record to appear red in the historical test index, should the Max probe value exceed the limit. If re-analysing a test the historical test index must be redone with the Remake button to register a change in colour.
The Insert in Data List entry will put the message into the data list along with the calculation result. It will appear red if the limit is exceeded.
The Time Offset can be used to insert a stage at a time offset from the time the I-Calc limit is triggered. It can be negative or positive and can be in seconds or hh:mm:ss format. See 2.6.6.6.2 for more details.
The Hide on Chart and Hide on Data List options can be used to hide the stage entry (not to be confused with the limits on the Limit Values tab).
This I-calc uses the Calculation on Whole Interval function to measure the Min probe value between the ‘Start EN554 Hold Time Monitoring’ and ‘End EN554 Hold Time Monitoring’. To accomplish this use these stages as shown.
For the reasoning behind using these stages please see the section Insert a Start Hold Time Monitoring Stage above.
Using the calculation selection button which is located just to the right of the calculation section and field, the Min probe value calculation has been selected from the Interval Analysis calculations.
Interval Probes are required here. Note that a free space probe can be left out of the calculation.
The lower limit is set as 134.0 and units must be selected as °C.
Display Message option can be used to put a message window in the computer screen.
The Highlight Test option can be used to cause the record to appear red in the historical test index, should the Max probe value exceed the limit. If re-analysing a test the historical test index must be redone with the Remake button to register a change in colour.
The Insert in Data List entry will put the message into the data list along with the calculation result. It will appear red if the limit is exceeded.
The Time Offset can be used to insert a stage at a time offset from the time the I-Calc limit is triggered. It can be negative or positive and can be in seconds or hh:mm:ss format. See 2.6.6.6.2 for more details.
The Hide on Chart and Hide on Data List options can be used to hide the stage entry (not to be confused with the limits on the Limit Values tab).
These I-calcs uses the Calculation on Whole Interval function to measure the Max-Min probe value between the ‘Start EN554 Hold Time Monitoring’ and ‘End EN554 Hold Time Monitoring’. To accomplish this use these stages as shown.
For the reasoning behind using these stages please see the section Insert a Start Hold Time Monitoring Stage above.
Using the calculation selection button which is located just to the right of the calculation section and field, the Max-Min probe value calculation has been selected from the Interval Analysis calculations.
Because of the nature of the required calculation we have to set up a separate I-calc for each probe. If you are not clear why this is then read the section Deciding Which Type of I-calc to Use.
Interval Probes are required here. Clearly just one probe must be selected for each I-calc..
The upper limit is set as 1.0 and units must be selected as °C.
Display Message option can be used to put a message window in the computer screen.
The Highlight Test option can be used to cause the record to appear red in the historical test index, should the Max-Min probe value exceed the limit. If re-analysing a test the historical test index must be redone with the Remake button to register a change in colour.
The Insert in Data List entry will put the message into the data list along with the calculation result. It will appear red if the limit is exceeded.
The Time Offset can be used to insert a stage at a time offset from the time the I-Calc limit is triggered. It can be negative or positive and can be in seconds or hh:mm:ss format. See 2.6.6.6.2 for more details.
The Hide on Chart and Hide on Data List options can be used to hide the stage entry (not to be confused with the limits on the Limit Values tab).
This I-calc uses the Calculation on Whole Interval function to measure the Max Deviation between the ‘Start EN554 Hold Time Monitoring’ and ‘End EN554 Hold Time Monitoring’. To accomplish this use these stages as shown.
For the reasoning behind using these stages please see the section Insert a Start Hold Time Monitoring Stage above.
Using the calculation selection button which is located just to the right of the calculation section and field, the Max Deviation calculation has been selected from the Interval Analysis calculations.
Interval Probes are required here. Note that a free space probe can be left out of the calculation.
The upper limit is set as 2.0 and units must be selected as °C.
Display Message option can be used to put a message window in the computer screen.
The Highlight Test option can be used to cause the record to appear red in the historical test index, should the Max probe value exceed the limit. If re-analysing a test the historical test index must be redone with the Remake button to register a change in colour.
The Insert in Data List entry will put the message into the data list along with the calculation result. It will appear red if the limit is exceeded.
The Time Offset can be used to insert a stage at a time offset from the time the I-Calc limit is triggered. It can be negative or positive and can be in seconds or hh:mm:ss format. See 2.6.6.6.2 for more details.
The Hide on Chart and Hide on Data List options can be used to hide the stage entry (not to be confused with the limits on the Limit Values tab).
This type of I-Calc is not demonstrated in the EN554 example. Use a continuously monitored Interval I-Calc, along with a Min probe value calculation and enter a lower limit, and check the box on the Actions tab labelled Show Time Accumulation. Also do not forget to select the required probes and intervals.
Be sure to check also the Hide on Chart and Hide on data listing options which will switch off the automatic insertion of messages when limits are breached (continuous monitoring feature). The time accumulation calculation will still be seen on data list and chart.
The Reset time accumulation option can be used to either keep accumulated time when lower limit is breached, or reset the accumulated time.
In Start Stage, End Stage and Insert Stage boxes it is possible to both select from existing stages programmed, and to type in custom stages. When typing in stages it is important to be careful of the INT and CODE part of the stage.
A message typed into the Insert Stage box, such as ‘Start Monitoring’, will get put into the test record stage file as ‘Start Monitoring [INT;0.00 CODE:53]’
The interval INT;0.00 will have no effect on the interval that data is listed in the data listing. The reserved code 53 has a special function when a test is re-analysed. All code 53 stages are deleted before re-analysis, and then inserted again in the light of a changed analysis.
In order to use the ‘Start Monitoring’ stage in another I-calc, it must be referred to as ‘Start Monitoring [INT;0.00 CODE:53]’ in the Start or End Stage boxes. These boxes must always refer to a proper CODE. When using custom stages be careful not to use CODE’s that already exist in the stages list.
Stages that are inserted for calculation results but not shown and are deleted before every re-analysis.
Stages that are inserted for calculation results and are deleted before every re-analysis.
Stages that are for inserted for I-Calc limit events results and are deleted before every re-analysis.
Stages that are for inserted for start & end of a calculation interval where is the start is re-triggered any existing 55 & 56 will be removed.
Stages that are for inserted for calculation results and can repeat. The existing 57 & 58 are left and calculations are restarted.
Several I-Calc entries can be modified for a group of selected I-Calcs. Hold the control or shift key to select the group, and continue holding double click one of them. Changing one of these will change all the group:
Cycle Start
Cycle End
All the hide checkboxes.
Sterimizer: If you are using Sterimizer, a view Sterimizer button will appear. The Sterimizer panel will allow you to enter and download Sterimizer parameters, however when logging a test TQSOFT will not use these parameters because none of them now affect the way TQSOFT works.
![]()
The yokogawa1800 channels can
be set up using the window above. Consult the
The Custom tab allows several notes fields to be setup. The notes can referenced from custom reports for importing into reports.
The Edit Notes/Report allows the user to set a Word document or specific TQEXPRESS template to be accessed when the Test Notes button is pressed. If a Word document is specified a copy of the document is stored with the Test Record when the test is started. The copy can then be edited by the user and the copy can easily be used in TQEXPRESS as part of a complete report. If an TQEXPRESS template is specified, data such as, for example, indicated and recorded values can entered in the Test Notes and later imported into complete reports in TQEXPRESS.
If the TQExpress template has a name with ‘’USER MESSAGE’’ included, then at start of a test the user will be shown the template.
The Edit Notes/Report also allows the user to set an RLF (TQExpress reports list file). In this case at start of a test the software will automatically add and import the report sections listed in the RLF file to the report for this test.
Use the new button at the base of the select Test Specification window to create a new specification. See the introduction to this chapter to see how to get to the test specification window. You can use the selected name as a basis for the new specification. A new test specifcation will appear in the list with a defaul name made up from the sequential file name given to the specification in the LOGGER01 directory. You can proceed to give it a new name. When the go button is next used, the new test specification name should appear in the list of all test specifications.
TQSOFT supports a serial link to a temperature reference unit in order to carry out fully automatic calibration and calibration checking functions.
Simply select from the list of probes supported. Most baths have a controller or indicator value that can be used as a reference, subject to accuracy requirements. If you use a value from a bath, TQSOFT uses the same comms port as the Thermal Bath.
For notebook computers you will need to purchase an extra PCMCIA serial port card. TQSOFT defaults the communications parameters to factory settings for each type of probe, but be aware that the parameters are normally configurable on the probe, and may need to be checked.
The drop down list on the comms port selection will indicate which ports are available on the PC. It also lists which ports are used by the logger and thermal bath hardware.
To check communications with the probe, go to the Temperature Reference Control option on the Temperature Reference drop down menu.
TQSOFT supports a serial link to a thermal bath in order to carry out fully automatic calibration and calibration checking functions.
Simply select from the list of baths supported. For notebook computers you will need to purchase an extra PCMCIA serial port card. TQSOFT defaults the communications parameters to factory settings for each type of bath, but be aware that the parameter are normally configurable on the bath, and may need to be checked.
The drop down list on the comms port selection will indicate what ports are available on the PC. It also lists what ports are used by the logger and reference probe hardware.
To check communications with the bath, go to the Thermal Bath Control option on the Thermal Bath drop down menu. The current bath temperature should be displayed in the upper box.
![]()
Use the Chambers button to the left of the main
toolbar to access the Chambers database. This is the same database that TQEXPRESS
uses to fill in the header section of a report. You will normally use this
button at the start of a new job if you have not worked on the Chamber before.
There is
no limit to the number of records. When adding a new record, TQSOFT will prompt
for an eight character Chamber reference that will be used as a directory name
for storing test data as tests are logged. This will prevent duplicate cycle
numbers from different Chambers producing a file naming conflict.
It is
required to specify a Chamber just before starting a test. So before going to
site engineers should be sure that the records are set up.
The
window will automatically file chambers on Site
Name if a name is entered.
The Schedules tab can be used to schedule
and alert dates for testing of furnaces and re-calibration of test instruments.
The Details tab will allow chamber shape
and dimension to be added. These should be setup before setting sensor
positions in the 3D chamber diagram. A Work Zone can be specified which must be
rectangular but may be required in cylindrical furnaces. The work zone position
is from bottom left had front corner of the furnace (extrapolated for
cylindrical).
The Custom tab text boxes can be used for anything and can be accessed in TQEXPRESS reports with the names UserEntry1, UserEntry2, UserEntry3 in autoclave section.
The Sensors tab allows the sensors to be positioned in the 3D chamber view. For furnaces the positions are normally fixed for all processes, but for other chambers positions may vary for process, so positions can also be set in a Test Specification. In TQAero the positions set here take precedence.
The Test Specification tab allows
administrator to reduce the number of test specifications available to an
operator testing this chamber.

Equipment
records can be added to a chamber record by right click on the Equipment icon, or by pressing New with equipment icon highlighted.
Custom
reports can be generated with the equipment details included, and the equipment
records can be used to track calibration dates.
A report related to a chamber can be created by right clicking the chamber node and selecting new report. The new report window will appear. The kind of report can be selected (this is how a SAT report can be started) and a reference can be given to the report.
To manage SAT reports the Sensor Tested should be added as an item of equipment to the chamber (see above), and then all future SAT reports will allow selection of the sensor and automatically use the correction factor in the report.
The Test Equipment window appears whenever new hardware is selected, and can be accessed from the option on the Setup dropdown menu.
To enter details for a new piece of equipment, right click on the type of equipment (Logger/Recorder, Thermal bath, etc.) and choose New. In this version, additional equipment can be added by clicking on the Test Equipment item.
Note that if you do add battery logger items here the Cal Cert No and renew dates are not linked to the dates in the TQSoft calibration files.
Save Changes button must be pressed to register changes.
To select items right click on them and choose select. Selected items will be stored in test data and calibration data and the information can be used in automatic reports.
There is an option under the More button when starting a test to modify equipment selections.
When the calibration due date approaches the item is highlighted purple, and when overdue the item is highlighted red. An alert appears when starting calibration or test with an overdue item selected.
A correction can be added to all readings by setting up a logger correction factor as shown here....

To use multiple correction factors for each channel and multiple temperature ranges on a logger, use this option in the Manual Calibration Adjust window:

The calibration file with its logger corrections box checked will be used to adjust measurements in addition to the sensor calibration file.
The stages button function changes according to the status of the software.
When test is not active and chart not being used to insert stages, it allow historical editing of the complete stage list or a particular tests stages. In particular the Edit button will allow the stage name to be modified and the Interval. The interval will decide the data print frequency for the data list. The interval can be set up to mm.ss minutes/secs or in the format ‘hh.mh’ for hours/minutes or in the format ‘dd.hd’ for days/hours. (eg ‘01.0d’ for a printout every day).
When a test is not active and a chart is being used with the Data Line function, the stages button will simply allow stages to be selected for inclusion on the chart. See Setting Up Stages using the Chart.
When a test is active the stages button simply allows the next stage to be added from the stage list set up in the Test Specification.
The Stages window can be used to make custom stages for use in chart and data list or custom stages can also be inserted from the ‘actions’ of I-Calcs. Custom stages may use a CODE: (for reference by other I-Calcs) but the CODE: entry should only use codes 60 up. For example:
My
custom stage [INT:00:00 CODE:60]
All CODE: below 60 may be used by the software for analysis (for example Sterilization start CODE:14 is used extensively for sterilization analysis.
Code 52, 53, 54, 55 and 56 have special use by the software:
Calculations
Start [INT:00:00 CODE:55]
Calculations
End [INT:00:00 CODE:56]
These special CODES 55 and 56 can be inserted multiple times to start/stop/restart I-Calcs. They are used in door open tests so that analysis of multiple stable phases requires only one I-Calc which does not include phases when door is open.
The sensor positions window can be accessed from.....
So this means that you can specify positions either as part of the chamber record or as part of the Test Specification. Its best to identify your requirements and decide which suits. To use both options is most flexible but may result in confusion.
If you do opt to set positioning in both Chamber Records and Test Specifications, TQSoft will always give priority the Test Specification settings. Whereas TQAero will always give priority to Chamber Record settings.
This reflects the fact that TUS uses a one sensor layout consistently for each furnace. But autoclave and other chamber sensor plans may vary with processes tested, hence the need for Test Specifications.
If the sensor positions are setup in the Test Specifications, the chamber shown is a cube, and positions are set in percentages. When a test is started and a chamber is selected, the sensors positions are converted to real units relative to the dimensions of the chamber record.
When a test is started, probe selection in Test Specification is OR’d with probes positioned in the Chamber sensor tab.
Positions can also be setup or modified once the test is completed. The configuration of the 3D diagram can be individual to each test.
The extra items are simply items whose names can be specified that can be positioned onto the diagram if required.
The sensor positions 3D view can be included in reports with the Add TQSoft Test button in the TQ-Express Report Manager window.
Extra 3D views can be included in a report using the Add Section button and then double clicking on the Chamber Diagrams section.
Sensor Positions View1, View2, View3 can be used to configure different views. The sensors will all be in the same position in all views of the same test, but the view angle and data view can be different.
The Hottest and Coldest view is aimed at Furnace validation and requires an I-Calc called T Min Max Stability to be setup for the stability phase of the study.
Before being able to log data the logger must have been setup and tested using the Inputs Display button to confirm sensors are being measured correctly. This may involve altering the default Channel Configuration file.
For thermocouples, it is advisable to perform a calibration with traceable calibration equipment before performing a validation study.
A suitable test Specification should have been setup prior to logging data most importantly specifying which sensors to use, the calibration file to use and the channel configuration file to use.
Use this button to start logging data. The window shown below will appear.

Chamber Name links the test to all the information set up in the Chamber record. If the correct one does not exist it must be created using the button on the right to open the chamber management window. A test cannot be started without selecting a Chamber. The Chamber button dropdown can be used to access the Test equipment management window and the sensor positions window.
The cycle number will usually be used to match the Chamber cycle number. For HTM2010 users that want to use the standard TQEXPRESS HTM2010 report sheets the cycle number should be kept to maximum about 8 digits to fit in report boxes. It does not have to be a number. It is used in reports and as a name for the data file. This is why data for different Chambers must be kept in separate directories, so that if you happen to have the same cycle number on two different Chambers the data files do not get mixed up. When you press Start Logging, TQSOFT checks that a file with the same cycle number does not already exist. If a duplicate does exist, TQSoft will automatically add a suffix to the cycle number.
Press Next and then select the Test Specification required.


Finally the Start Logging button will appear:

Here the Start
Time option can be used to set a time to start logging. In this case the
scan times will start at the precise time set regardless of the logger
timestamps. This option is designed to allow merged data battery logger data
timestamps to be aligned with real time logger timestamps.
The time format
here is dd:hh:mm:ss. Use the dd (01) setting to set a time for the next day.
The Delay option can be used to delay start logging.
Job Reference defaults to the last Job Reference entered. It will be printed on the top of all chart, digital and calibration reports. It can be used to filter the historic list of tests. It can be used to tie tests to a report created with TQEXPRESS. When creating a new report with TQEXPRESS the reference entered here will appear automatically. The reference entered into TQEXPRESS should be the same as that entered here.
The Add Test to Report option will create or add to a TQExpress report automatically. When the option is switched on the test report selector window will appear and allow the required charts etc to be selected to addition to the main report.
The Test Equipment menu option allow the operator to setup of modify which equipment is being used for this test by ticking the items in question.
The Edit Test Spec and Probe Selection options are provided as a convenient method to make any changes.
The Merge option will display the Merge window covered in another section.
The Log in another TQSoft option will start another instance of TQSoft and start logging in the new one, allowing multiple TQSoft to be logging at once. The scans of the first TQSoft are shared to the other instances. The following considerations apply:
1. The TQSoft that is providing scanning should have the correct calibration file active. The other TQSoft’s will assume the data is calibrated using the calibration file in their Test Spec.
2. Once another TQSoft is logging, the TQSoft that is providing scanning should clearly not have its setup modified (the selected calibration file setting).
3. The scan interval in Test Specs will not be used, the default scan rate set in the initiating TQSoft will determine the scan interval of other TQSoft. For Fluke this can be set in Logger Control option.
4. For the second and subsequent instances of TQSoft started, the software checks if channels are in use by the first instance. If they are in use, the operator is offered the option to offset all channels so that there are no conflicts. TQSoft will automatically amend TQSoft channel colours, locations and references in calculation..... User must ensure that the channel configuration in the logger will match with the required offset, because TQSoft will not amend the logger channel configuration.
5. User must ensure that all channels have been calibrated, so that if the first instance uses channels 1-20, the second instance will use 21-40, so all 40 channels should have been calibrated.
6. Once an instance has finished logging it should be closed.
Load Condition Ref will be used in future versions to link a test with its Master Process Record for comparison analysis.
Comments is only a single line note. More comprehensive notes can be entered with the test notes button on the main toolbar.
Batch
code, product
code and the two user configurable
fields are used purely for records and can all be included into TQEXPRESS
reports automatically.
When you have entered the required information press Next. At this point TQSOFT performs a number of checks on the selections made so far.
It checks that the last calibration procedure was carried out on the calibration file chosen in the test specification. If it was not an alert window appears that the operator can choose to ignore.
It checks that the selected probes have passed their stability and accuracy criteria from the calibration. (see Calibration Files) If probes have fail status then they are automatically set as defective probes.
It checks that there are probes selected.
It checks that the archive destination is operational (only if automatic archiving is set).
It checks that the cycle number does not already exist.
It checks that a Chamber has been selected.
Finally the start logging frame should appear.
On pressing the start logging button, you may experience some delay before the real time chart appears. The time axis of the real time chart defaults to one hour, but can be modified with the Estimated Test duration field in the test specification.
In general it is important not to do too much with the computer while logging a test, and that includes working on TQEXPRESS. Most loggers rely on the PC processor to time requests for scans, therefore if you start up applications that hog too much processor time, data will not be logged at the interval required. The degree to which this happens will depend in the speed of the PC system.
If the PC system crashes while logging, TQSOFT will automatically resumes logging to the same test record when the system is restarted.
Once logging you may use the Stages button on the main toolbar to enter stage times as they occur in real time, provided you have set up the stages listing for the test specification. It is also easy to enter the stages later provided to time are recorded.
This button causes both windows shown here to appear. The Inputs display defaults to display just those probes being logged. Use the Tog button to show all the inputs.
The Inputs Display drop down menu shows the list of tests most recently selected or completed. Selecting one of then will show the chart with the Data Line option enabled and the calculation windows. Moving the Data Line will update the inputs display window and the calculation windows.

The status display panel is shown on the previous page. It is fairly self explanatory. The top line shows when data was last received from the logger, and an estimate of how many tests can be stored on the hard disk. The selected calibration section displays the currently selected calibration file and indicates whether the factors are active in the PC. The next section down shows information concerning timing for the test currently logging, and the section at the bottom displays calculations time at temperature, lethality, instant lethality and pressure correlations for all the temperature probes being logged.
In the Inputs Display window (see section above), click on any one of the channels to bring up this window. You can maximise this window to see the screen at a distance, or resize it as you wish. You can have as many monitor windows active as you want.
The time axis of the real time chart defaults to one hour, but can be modified with the Estimated Test duration field in the test specification. If the test lasts longer than the time axis then simply size a zoom box quite large and move its right side past the end of the chart, then zoom in. Apart from that, the real time chart can be used just as if it were a historical chart. See section titled The Chart Button below.
The real time data listing window can be used in exactly the same manner as if it were a historical listing. However the window is not updated automatically like the chart.
If a thermocouple breaks or a connection is faulty its likely that a channel value will go to full range at 32672. In this case TQSoft will post an alert window indicating the time the event happened. A sound alert will also be made. The alert window will stay open until its shut. If a channel keeps going to full range then multiple windows will be posted.
To enter stages during logging as they occur simply press the Enter Stage button on the main toolbar.
The window shown below should appear. It displays the PC time at the point
where the Stages button was pressed. The time can be modified manually. When OK
is pressed the stage is added to the stage file for the test. The next time the
Stages button is pressed the next stage that was set up in the test
specification will be displayed automatically.
The list selector can be used to select from any stage from those set up in the test specification, so the test start and end stages can be selected and TQSoft will automatically alter the default times of these stages.

![]()
While logging you can use the Historic Tests button (see Historic section for full details) to load and view previous tests. In this situation the View button must be used to switch between the historical test you selected, and the test being currently being logged.
Note that you cannot enter stages as they happen (see above) while the view button is used to display historical tests.
TQSOFT allows you to perform up to a 5 point calibration check, and produces all the calibration check documentation for you automatically, in a similar manner to calibration.
Use the calibration checking button on the main toolbar to start calibration checking. You will need to enter calibration information and select probes to validate, in exactly the same manner as a calibration. See earlier section calibration for full details. Just as in calibration you must be sure that you have the correct calibration file selected, since it is the factors in this file, along with the hardware, that you are effectively validating.
The sequence of windows for calibration checking is similar to that for calibration. The main difference being that the high and low setpoint text boxes are replaced by five text boxes for up to five check points. Just as in calibration, an automatic calibration check can be performed provided you have the right kind of thermal bath and communications ports.
At the end of calibration checking TQSoft displays a message to the effect ‘Have you finished calibration checking for tests done so far?’. This is a question required by TQSofts’ automatic filing system which, if you want to understand it, is outlined it the flowchart diagram below. Basically it means that you should check all the channels that have been used during testing before answering yes. This may mean performing several calibration checks for temperature and pressure.
TQSoft will also now check if a Report exists in TQExpress with the same Reference as the calibration check. If it finds one, you are given the option of automatically putting the calibration check report into the main TQExpress report.
A short while after finishing a calibration check, the calibration checking records window will appear. See the section titled Calibration Checking Records Viewing and Printing, for a explanation of the window.
TQSOFT creates a new calibration check record and displays the details of the check just performed in the lower part of the window. You can print the record now if you want, or press OK to finish the calibration check completely.
The Test Notes window allows text notes to be entered conveniently at any time after the test is started. The notes can be printed using the option on the drop down menu.
The Test Notes window is formatted on an TQEXPRESS template and can therefore be customised as required provided a designer license has been purchased.
The OK button saves any modifications and exits.
The Cancel button does not save any changes.
The procedure for merging data from different tests is outlined here. The TQS OQ test VB33 is also a good introduction to this feature.
1) Design a Test Specification which will be used as a ‘target’ test specification for the data from other tests to merge into. TQSoft is designed to automatically link channels that have the same location entered. So it will be useful have a plan about what data will go into each channel. This is especially true of ‘remote’ loggers where it will be useful to identify the logger serial numbers in the locations of the channels.
2) The plan for assigning data to particular channels is essential if you are going to use I-Calcs which will require precise channel selection for analysis at this design stage.
3) Save the ‘target’ test specification and press the Start Logging button. Select a Chamber and cycle number and press Next, select the test specification you created, press Next.
4) Select the Merge Tests option on the More button drop down.
5) The Merge Test window is divided into a section for the Test Specification channels on the left, and a historic tests listing in tree format on the right. The tree format can be configured from the Historic Tests button on the main toolbar.
6) Double click on the Test Specification name to the left, and you will see the channels listed.
7) The tree structure on the right is designed for dragging channels to the test specification channels. ‘Drill down’ to a test’s channels by double clicking Chamber names and dates and tests, until channels are listed.
8) Drag and drop a channel from the right to a channel on the left. If you drag a channel to same channel number, then text will change to blue on the left. If you drag to a different channel number, then the text will change to red on the left.
Note: The red is to indicate that TQSoft will not be able to manage the calibration files in the merged test that will be created. This is simply because calibration reports refer to specific channels labels which are nearly always numbered, so the calibration reports could easily be misleading.
9) There is a better way to assign channels. If you have used channel locations as advised, when you drag a channel from the historic test, to the Test Specification text (the ‘root’ of the tree on the left), TQSoft will find a channel with matching location, and automatically link that channel.
10) You can do the same with the test ‘nodes’ on the right. By dragging a test node from the tree on the right, to the Test Specification text (the ‘root’ of the tree on the left), TQSoft will find all Test Spec channels with matching locations and automatically link them all.
11) Similarly for the higher level ‘nodes’ on the right. You can drag a group of tests under a particular date, by dragging the date node, and TQSoft will sift through all historic channels, linking first matching locations found.
Note: Channel links cannot be changed. If a mistake is made press Cancel and redo.
12) When enough channels are linked press OK.

The Merge Tests window shown here will appear.
13) Click on a test on the left to use the Start Time, End Time and Date of that test for the merged test. The times can be modified manually if required.
14) If Adjust for Start Times option is left unchecked, the first row (or scan) of data in the merged test will contain the first scan from both tests listed on the left, regardless of the time of those first scans.
15) If Adjust for Start Times option is checked, then any data before the start time will be discarded, and any after the end time.
If a stage is selected the start time of data from each test is taken from the stage time.
16) If Interpolate option is checked, tests that have scans missing will have data inserted at a value interpolated from data in a previous and a subsequent scan.
17) The Delete Source tests after Merge option will delete each of the tests on the left automatically after data has been successfully merged.
18) When OK is pressed, a new test is created and analysed with the designed test specification.
![]()
TQSoft automatically creates a ‘signature’ for all test
records, calibration records, calibration checking records, TQSoft access
codes, and some other crucial files. If any of these files are modified outside
authorised access through TQSoft, then TQSoft will display a message and not
allow the records to be viewed or printed. This even applies to the binary
measurement tqd file. If a security
message is seen (example shown below), then the record is no longer usable.
Use this button to load files into TQSOFT. When you use this button you should see the data files index window appear, and it should look something like the window shown below. The list is a list of all the data files found by the program in the directory specified. You can change the directory using the Configure button. To load a file, double click on it, or highlight it and press OK. Note that if you use this button while logging you need to use the ‘View’ button too. (See section 3.9)
If you manually add or copy tests to the LOGSYS folder, press the Remake button to get them included in the list. The drop down side menu on this button allows fast access to the last 20 test selections made.
![]()
When you use the Remake button
TQSOFT looks in the configured directory, and
all sub-directories, for all files that look like data files and makes
a file called index2.dat. If you change the configured directory and an
index2.dat file already exists in that directory then the window just displays
the contents of the existing file. You need to use the Remake button to update
the contents of the index window if you have added new files or directories to
your data archives.
If you are using TQSOFT to log data through a serial port, all the files logged will be tqd files and their location will be automatically managed into the Chamber dependent directory structure. However you may want to change the root directory to look at files in another place or on another disk.
If the root directory of the index window has been changed from its default of c:\logsys, and a test is logged, the new test may not appear in the index. A new test is always recorded in the file c:\logsys\index2.dat, and you will need to change the root index back to its default in order to see the latest tests logged.
Red items in the list have failed an I-calc setup to set historical index entry red.
Using the Configure button on the historic index window brings up the configure window shown below. If the root directory is changed then it is advisable to use the Remake button in the Index window to be sure that the index shows up to date information about data files in the root directory and all sub-directories.
It is not advisable to select the root directory of the hard disk i.e. “c:\” as the root directory of the index window because TQSOFT may run out of resources searching for data files.
The procedure for using the Test Index in tree view mode is as follows.
Click on the Treeview option box in the Configure window shown in previous section.
The Shown and Hidden lists will change to show lists especially for the tree view. This is because of course the nature of the hierarchical tree view is very different from the simple listing.
Before adding columns to the Shown list, click OK and play around with the tree view.
To select a test click on its box as
shown here: 
To select a group of tests for copying (when using the Data Manager), click on the higher node as shown here:

Tests can be grouped in many ways and groups of tests can be quickly selected by autoclave, date, job reference etc.
With a chart displayed the user can right click and access many TQSoft & TQExpress reporting functions. If a Report exists with Reference matching the tests’ Job Reference then Edit Report allows easy access to the entire report, the errors and omissions window, and the main TQExpress Reports window by clicking the reference in the drop down list.

Choose the Configure chart menu option from the Setup dropdown menu. These settings are used each time a Test Specification is created. Accessing this window from the Setup menu will not affect existing Test Specifications or Historic Tests.
To edit Chart configuration settings for each existing Test Specification, start at the Edit Test Specification on the Setup menu, and use the button in the test specification general tab.
To edit Chart configuration settings for each existing Test, start at the Test Detail button on the main toolbar, and use the button in the test specification general tab. Alternatively right click on a chart.
The chart range for each unit can be setup here by selecting the units and altering the default max and min. Custom units can be added by typing into the Units selector and pressing ENTER. Units can be removed by highlighting and pressing DELETE.
If a test contains measurements with different units (including lethality), TQSoft will show multiple scales on the chart starting from the right hand side. (see Appendix G).
Default time grids is a time interval for the chart vertical grid lines calculated by TQSOFT. It will normally result in about 30 grid lines. If more time values are required for a chart printout then customise the time increment per grid, and turn off the default time grids option.
The Print stage lines and Show zoom area allow these items to be shown on a chart print.
The margins allow the width and height of the blank area around the chart printout to be varied. Remember that the trace ID panel is printed in the space allowed by the base margin. It will automatically resize itself to fit as many ID’s in as the base margin will allow.
Now you can simply right click on a chart to enter stages. The list of stages shown will be those selected in the Test Specification that has an identical name to the test. If no matching Test Specification is found, the list will show all stages available.
An alternative method is to use the Data Line button on the chart control panel as shown above. This will display a vertical line on the chart and a digital display to the right. The digital values are the values at the vertical line time. To move the line, point somewhere on the chart and hold the mouse down. The line will move to the mouse pointer position and the digital display will change to show the values at the new position of the line. Keep the mouse held down and move the line around at will.
To enter a stage, move the line to the correct position, then press the Stages button on the main toolbar above the chart. See the section below titled Producing a Data Listing Summary with Stages for a view of the stages window and to see how to choose and insert the new stage.
At present there is no preview for the printout and it defaults to landscape format. As mentioned before the chart printout size can be controlled with the margin settings in the chart configuration window.
The identification printed above the chart is based on an TQEXPRESS template called chthdl.rcf in the LOGSYS directory. Provided a designer license has been purchased, the identification can be customised with the designer function. See also TQExpress manual section How TQExpress Works/RCF files used in Chart and Data List.
These template files are not replaced by re-installing the software and can therefore be customised without fear of being overwritten. If they are corrupted then delete them and re-install.
To set a shaded area on the chart, a simple
I-calc must be set up in the Test Specification. Go to the I-Calc List tab and
press New. Set the I-Calc up as follows and then refresh the chart window: 

Forms can be superimposed on charts to show important calculations or allow operators to add information onto the chart.
To superimpose a chart right click on the chart and choose Add Form. Select a template and click OK. If the current test has a name (see Test Details button General section) identical to a name in one of the Test Specifications you will be offered the option to add the form to the Test Specification. In this case any future tests run with that Test Specification will automatically show the chart form.
To remove the form permanently, choose the Remove Form option.
When you first look at the digital listing of EXAMPLE.ASC there will be no data listed. This is because there are no stages set-up yet. So click on the All Data button, that will display all the data in the file. Note that you can set up a stage list for any data file (see relevant section below) that can include individual print intervals for each stage, thus producing a shorter more concise digital listing that will include stage information.
When printing the digital data, the program will adjust the output for the orientation of the printer. So if you have 12 temperature channels and you want the data columns spread across a page in landscape mode, select landscape mode in the printer set up window that appears when the Print button is pressed.
You can hide irrelevant data at the start and end of the test by inserting a Cycle Started and Cycle Complete stage. No data is printed before Cycle Started and if Cycle Complete is given an interval of zero then no data is printed after. Note that the Reports package (TQEXPRESS) will use these two stages to report the start time and the test duration.
The Data Listing Window is resizable by dragging with the mouse.

The All Data button will show all stored data times regardless of the stage interval (INT;) setting. By default TQSoft will show data at intervals as close to the stage interval setting as possible.
The Leth Full button will show an extra line of lethality values for each scan of data. Only those channels configured for the lethality calculation (in the test specification) will have a value shown.
The Intervals button can be used to remake the list is some stage positions or intervals are changed, but this should in most cases be done automatically anyway.
Data values above the Low Limit 1 (see Default Sterilization Limits in test specification) will appear in the colour configured in the Data List configuration window on the Setup menu.
The calculations columns are configured in the Data List configuration button in the Test Specification. If data consists of a mix of measurements the first column will decide which measurements are included in the calculation.
The Default data List Configure option on the Setup menu are settings which will be used as defaults each time a new Test Specification is created.
To edit Data List configuration settings for each existing Test Specification, use the button in the test specification general tab.
To edit Data List configuration settings for each existing Tests, start at the Test Details button on the main toolbar, and then use the button in the test specification general tab.
The colour options work to change the colour of data between the special limits.
The left margin can be increased to allow for punches.
Use locations for column headings must only be sued is locations are very few characters.
Print Stage Information can be used to switch off the stage printing completely.
Landscape mode can be used to fix the orientation of the printer format.
Use The Enter Stage button on the TQSOFT toolbar to bring up the historical stages window shown below.
The best way to set up a stage list is to display the chart and the use the Data Line button. Then move the line to the start of a stage, and then press the Stages button on the main toolbar. Double click or press the Insert button, the time (where the line on the chart is positioned) should be used as the new stage time. The stage should appear on the chart.
The data listing window has a preview button for viewing the complete printout before committing to a print run. This allows the number of pages and printer setup to be verified.
The identification printed at the top of each page is based on TQEXPRESS templates called tqshdp1.rcf (tqshdl1.rcf for landscape) for page 1 and tqshdp2.rcf (tqshdl2.rcf for landscape) for all other pages. These are all in the LOGSYS directory. Provided a designer license has been purchased, the identification can be customised with the designer function.
These template files are not replaced by re-installing the software and can therefore be customised without fear of being overwritten. If they are corrupted then delete them and re-install.
If paper size A3 is selected prior to output to printer device TQS will allow A3 width for the Data List report.
The
Test Details button allows the Test Specification and other details for a test
to be viewed and in some cases modified (e.g. default calculations). The Chart
can be updated to reflect changes to the Test Details by using the Chart button again on the main Toolbar.
The Test Details button defaults to show the Runtime Spec.
The Runtime Spec frame contains a comparison test entry that can be used for superimposing traces from another test. Some setting up must be done in the comparison test to successfully superimpose. This is best used to display 1 or two traces from a test designated as an MPR test in a pale colour.
Trace(s) to be superimposed must have the word ‘MPR’ added to their location in the MPR’s test specification.
The channel colours should be made a pale tone using the system colour palette selection.
The Comparison span is the width of the comparison trace required. The width must be entered in units compatible with the units of the comparison traces. So for example if the units are in DegC and 1 is entered for the span, the trace will appear 1 degree wide on vertical temperature scale. So temperatures more than 0.5 degrees deviant from the MPR trace will be seen to go outside the shaded area. Unless pale colour is used the chart will look dominated by the thick comparison trace.
When a test is logged the Channel
Configuration file selected in the Test Specification is copied and kept with
the test data. When you select a test from the Historic tests window this
historic
channel
configuration is loaded into TQSOFT and is used to display data.
From the Current Test dropdown menu select Channel Configuration, you will see a window much like that described in the TQSOFT Setup chapter under the Channel Configuration section. In this case you will not be able to select other channel configurations because you are editing the channel configuration for the historic test only. Any changes you make will only be applied to the test that you have selected historically. You would normally use this to modify the channel locations and chart colours.
![]()
Each calibration performed automatically creates a calibration
record. To access the calibration records select the Logger dropdown menu and
then select Calibration Records. The window shown below will appear.
Without signatures in the calibration report will contain blank spaces for the signatures, signatory names and dates:
![]()
The first signature will normally be entered at completion of
calibration, but if cancel was pressed the Add
Signature button at the base of the calibration report preview window can
be used.
The first signature added will go into the operator line, although the word operator can be changed by selecting or typing a different reason in the signature window. For example:
![]()
The second signature added will go into the Reviewed By line although the words Reviewed By can be changed by selecting
or typing a different reason in the signature window. For example:
The reasons listed in the signature window can be customized by editing the file EsigRes.txt file in the LOGSYS directory.
Only two signatures can be added to a calibration report, and they cannot be deleted once added.
Note the VALID ESIG message printed. When TQSoft prints the report it checks the signatures in the report against its database of signature ID's. If a match is found it prints VALID ESIG. If the test record is moved to another computer with another TQSoft installation that does not contain the same operator database, then the signatures will not be validated
A slightly more flexible way of distributing documents for electronic signature is to convert reports to PDF format and sign them using a product such as Adobe Acrobat.
If the Store Cal and Cal check reports with each test record option is checked in Company Name and General Settings, when a test is run, TQSOFT automatically copies relevant calibration files to the test record. To access these reports, select the Current Test dropdown menu and the select Calibration Print or Calibration Preview.
You will see a calibration summary report detailing the calibration status of each channel, then whatever calibration reports are relevant to the channels logged. In most cases this mean a calibration report for temperature and another for pressure. If a large number of temperature channels are being logged, two temperature calibrations may have been performed.
Note that if electronic signatures are added to calibration reports before a sequence of tests is performed, then the signatures are automatically copied, along with the rest of the calibration data, to each test.
The reason that TQSoft duplicates calibration reports for each test run is that a TQSoft test 'record' will contain ALL the information pertinent to that test. This makes life very simple when tests are archived or emailed, because there are no 'links' to other files to be inadvertently broken by moving the test 'record' to another location. TQSoft has used this design philosophy throughout. The file sizes involved are tiny by today's standards.
Each calibration check performed
automatically creates a calibration check record. To access the records select the Logger dropdown menu and
then select Calibration Check Records. The window shown below will
appear.
![]()
If the Store Cal and Cal check reports with each test record option is checked in Company Name and General Settings, when a test is run, TQSOFT automatically makes up a calibration check file containing the latest calibration check information for each probe logged. To access this report, select the Current Test dropdown menu and the select Calibration Check Print or Calibration Check Preview.
For
an outline of how TQSoft stores calibration checking reports to test records,
see section 3.10.
When an engineer logs extra sensors attached to control or monitoring equipment associated with a chamber (usually a furnace), this function can be used to easily make SAT reports or calibration verification reports.
The option on right click from chart called ‘Chamber Equipment Calibration Check Report’ can be used to compare one of the logged channels with, for example, a controller reading. The function can be done during logging too.
If no report exists for the test then the new report form appears and a new report reference is created. Then an accuracy test report can be added.
Provided the necessary equipment information exists in the chamber database, then the form is very much automated, user having to fill in only the yellow boxes.
TQSoft has a number of methods for management outlined below. But recently many customers have found that installing TQSoft data folder, or complete application, into a cloud or OneDrive folder works well to enable automatic backup of all data.
For a team of engineers wanting to use a cloud system, installing into a unique folder for each engineer is an option.
TQSoft also allows all configuration files to be tagged with the first 2 characters of the System Identifier in Company Name and Setup options. This prevents file name clashes for different installs.
A complete data test consists of 8-12 files located in the TQSoft/chamber/data folder. The folder is shown in the chart or data list window caption. When seeking support from TQSolutions its always best to send a zip of the complete set of data that is requiring support.
You can copy the files to your desktop by right click chart, then copy files to desktop, then zip that folder on your desktop and attach to email.
To access the data management window select General from the Data Management dropdown menu option just above the main toolbar. This window gives the operator a convenient means of copying and removing all files associated with TQSOFT.
![]()
![]()
|
|
File Suffix |
Subfolder (in LOGSYS folder) |
Comments |
|
|
Test Record (Measurement data) |
Mbf / tqd |
Chamber/data |
Measurement Data |
|
|
tim |
Chamber/data |
Time for measurement data. |
||
|
lth |
Chamber/data |
Lethality calculations |
||
|
stg |
Chamber/data |
Stage information |
||
|
tql |
Chamber/data |
I-Calc specifications and results. |
||
|
pa2 |
Chamber/data |
Test Specification and analysis results. |
||
|
snt |
Chamber/data |
Security keys for tqd & stg files |
||
|
clb |
Chamber/data |
Calibration report(s) for channels used in the test |
||
|
vld |
Chamber/data |
Calibration check report(s) for channels used in the test. |
||
|
an2 |
Chamber/data |
Channel Configuration |
||
|
csv |
Chamber/data |
Optional conversion of measurement and time to csv format. |
||
|
mdb |
Chamber/data |
Audit trail for test. (MicroSoft Access format) |
||
|
doc |
Chamber/data |
Optional if Test Notes file is specified as a Word document. |
||
|
Calibration Records |
clb |
Logger01 |
These are historic files used only for report. |
|
|
Calibration Check Records |
vld |
Logger01 |
These are historic files used only for report. |
|
|
Basic Settings |
asciifr2.dat |
|
Specification for reading comma delimited files. |
|
|
logsetup.dat |
|
Realtime parameters required for forced program restart during test. |
||
|
logsys.ini |
|
Logger, bath & reference selections & settings, window positions |
||
|
Test Equipment |
Test equipment.dat |
|
test equipment, |
|
|
Channel Configuration |
*.an1 |
|
Channel configuration settings files. |
|
|
Security |
operat3.ini |
|
User account settings. |
|
|
Calibration Files |
cid |
Logger01 |
Current Calibration settings for each channel (not reports). |
|
|
Calibration Checking Files |
vid |
Logger01 |
Current Calibration Check settings for each channel. (not reports) |
|
|
Chamber Records |
clv |
|
Details for each chamber or equipment to be tested. |
|
|
Test Specifications |
pa2 |
Logger01 |
Parameter settings |
|
|
stg |
Logger01 |
Preset stages |
||
|
tql |
Logger01 |
I-Calc specifications. |
||
|
Reports |
mrf |
Reports |
These files are report lists and refer to measurement data or report templates. |
|
|
Report Templates |
rlf |
Report Templates |
These are TQSoft report design templates created with Designer. |
|
|
xlsx |
Report Templates/Excel Reports |
These are Excel templates. |
||
|
docx |
Report Templates/Word Reports |
These are Word templates. |
||
These files or folders must not be shared between engineers computers:
LOGSYS.INI
Logsetup.dat
Secure.ini
OPERAT3.INI
\cm folder
TQSAudC.mdb
\AuditMaintenanceStore folder
Logger01\*.cid
Logger01\*.vid
The archiving window allows the user to automatically make a copy of a test as it is being logged, or just after it is finished, and to maintain a complete archive of all test records shown in the historical tests window.
Allows user to make copy of complete audit maintenance folder AuditMaintenanceStore.
Note that subsequent modifications made
to default calculations, colours etc., will not be automatically copied
to the archive directory. 
The automatic at end of test or Calibration option will copy a completed test record or calibration record to the destination directory at the end of a test or calibration.
The during test option will effectively duplicate the complete logging process to the destination directory. This should be used carefully and tested with a floppy disk destination because of the processing time required to write data to a floppy disk.
The Start button will create or update a complete copy of the directory source (but test files and audit files only) in the destination directory. Unchanged files are not re-copied. TQSoft will only copy tests displayed in the historical tests window, and this may be affected by filters.
This function is intended primarily to allow teams of service engineers to keep distributed TQ installs configuration synchronized. But it can also be used for simple backup.
The idea is that an Administrator keeps a cloud folder updated with the desired configuration, and engineers can then synch their own install from the cloud. In practice the Administrator will need to decide which file groups to keep on the cloud. Usually this might be
· Channel Configurations
· User List (includes ID/Passwords)
· Chamber Records
· Test Specifications
The synchronization window is quite simple. The local file groups are selected on the left and the cloud destination on the right. The folders of the local install will be duplicated on the target drive or folder. The central buttons can be used for the transfer either way.
To set probes as defective historically, choose the Current Test dropdown menu and select Defective probes. Setting probes as defective will exclude them from an TQEXPRESS analysis. Alternatively you can enter ‘not used’ in the location (in historic channel configuration) that will have the same effect.
The Test Report options on the Current Test drop down menus is based on a number of TQEXPRESS templates in the LOGSYS directory. The templates used depend on the number of channels logged in the test selected. The supplied templates can be easily modified with TQEXPRESS designer. The templates are:
TS14C.rcf for 14 channels or less
TS20C1.rcf & TS20C2.rcf for two page 14-20 channels.
TS30C1.rcf & TS30C2.rcf & TS30C3.rcf for three page 20 plus channels.
Please note that modified templates must be backed up before re-installing the software since the default templates are also re-installed.
Crop data will allow you to discard unwanted data before the Cycle Start stage and after the Cycle Complete stage. The start and end times of the test will be automatically adjusted.
The stage lines can be moved graphically on the chart with the mouse.
You should re-analyse the test if necessary.
The crop and split option will create a new test record (file appended with s1) with the data after cycle complete.
This option may be useful to remove unnecessary data, or to split up sequential tests performed with battery loggers when its not convenient to remove loggers for data download.
All crop details are fully audited and the
uncropped data is backed up to the Desktop/TQSoft Test Files/Crop Backups.
This option will allow correction of limited number of report fields whose errors can disqualify reports in some situations. The option can be switched off in each user profile and any corrections are visible in the audit trail.
When making changes to data in TQSoft, a
window will appear asking for a reason for changes. This indicates that an
audit trail record will be created.
Data edits that create an audit trail entry are listed in acceptance tests section VB1-6.
The audit trail is updated automatically by TQSoft. The audit trail window can be started with the Audit Trail then Current Trial option on the Setup menu. Any operator with Security access (usually only the System Administrator) can view the audit records in the audit window and print selected records.
The audit records are kept in a database file called TQSAudC.mdb in the LOGSYS directory. The file is password protected by TQSolutions and encrypted.
If the option
Use the Calendar box to move the start of the list to a selected date.
Use the search box for finding subset of names or functions, first click on a column and then enter a search word and press ENTER. The selected column is searched.
Use the Update button to remake the list to include the most recent records added since the audit window was started up. This function make get slow with a large audit trail.
Use the Restore File button carefully. This function will place an archived file back into the live LOGSYS directory, replacing a current file if it exists. If the audit trail archiving option in Company Name and General Setup Options window is on, the current file will be archived too before being replaced.
Note that if, for example, a number of edits are performed at one visit to the test specification window, the audit trail will list all edits, however, the restore function will only work on the first edit listed, and the restore will include all edits made during that visit.
Note also that when Test Records or Test Specifications are deleted and then restored, multiple audit records must be restored.
Use the Print and Preview buttons to print items selected on the list as shown here. The System Identifier is setup in TQSoft Company Name and General Setup Options window, and the date and time is the date and time that the audit report was printed.
![]()
The ID is an incrementing number generated automatically for each record.
The name is the currently logged in operator name.
The Action categorises the area of TQSoft functionality audited.
The comment is used to detail the action performed, with, where appropriate, the change actually performed.
The Chamber serial number is included for relevant test records.
The cycle number is included for relevant test records.
The filename is the file affected by the action.
The following actions will each create an audit record:
Audit Trail Specification (RS1_6) |
||
Area of Functionality |
|
Archived |
|
Security |
Adding an operator |
|
|
Changing an operators access |
|
|
|
De-activating an operator |
|
|
|
Logging in |
|
|
|
Illegal use of password (highlighted in red) |
|
|
|
Exiting program |
|
|
|
Electronic Signature Executed |
|
|
|
System Identifier changed |
|
|
|
Chamber Records |
Adding a Chamber |
|
|
Deleting a Chamber |
Yes |
|
|
Editing a Chamber (Not item specific) |
Yes |
|
|
Channel Configuration (Setup) |
Editing a configuration (for each item) |
Yes |
|
Test Specification (Setup) |
Adding a new Test Specification |
|
|
Editing a Test Specification (for each item) |
Yes |
|
|
Deleting a Test Specification |
Yes |
|
|
Adding a stage |
Yes |
|
|
Deleting a stage |
Yes |
|
|
Changing a stage interval |
Yes |
|
|
Changing a probe location |
Yes |
|
|
Calibration File Management |
Adding new calibration file |
|
|
Setting calibration factors active(-1) or inactive(0) |
|
|
|
Selecting a calibration file for use. |
|
|
|
Copying a calibration file or record |
|
|
|
Deleting as calibration file or record |
|
|
|
Calibration |
Starting a calibration |
|
|
Aborting a calibration |
|
|
|
Finishing a calibration. |
|
|
|
Starting a calibration check |
|
|
|
Aborting a calibration check |
|
|
|
Finishing a calibration check. |
|
|
|
Manual calibration adjust |
|
|
|
Data Management |
Copy Test |
|
|
Delete Test |
Yes |
|
|
Copy calibration record |
|
|
|
Delete calibration record |
Yes |
|
|
Copy calibration check record |
|
|
|
Delete calibration check record |
Yes |
|
|
Test Records |
Adding a stage |
Yes |
|
Deleting a stage |
Yes |
|
|
Changing a stage time or interval |
Yes |
|
|
Test detail (specification) edited (for each item) |
Yes |
|
|
Test notes edited |
Yes |
|
|
Channel configuration edited (for each item) |
Yes |
|
|
Defective probes turned on/off |
Yes |
|
|
Crop Data |
|
|
|
Archived (backed up) |
|
|
|
|
||
21 CFR 11.10(e) requires that record changes do not obscure previously stored records. To accomplish this, the TQSoft Audit program copies any files that are about to be modified to a special archive (AUDARC) directory just before they are actually modified. The copied file is given a name that is the same as the audit record ID number (this is auto incrementing) with a TQA suffix. Note in the table above that security modifications are not archived. This is to prevent security being manipulated by using the archived records.
The audit archive function is potentially demanding on system resources and requires maintenance. For systems where this function is not required the Company Name and General Settings Option on the Setup menu can be used to switch it on or off with the Audit Archiving check box. Where this function is required it is clearly sensible to make the Company Name and General Settings option a System Administrator option.
The System Identifier and Audit Archiving selected settings are stored in a secure file. This file cannot be manipulated outside of TQSoft. TQSoft will shut down if the file is manipulated.
The Maintenance Procedure option on the Setup menu can be used to clear and store the main audit trail database periodically. When selected, TQSoft will store all records in the AuditMaintenanceStore folder in a file name consisting of first two letters of the System ID and the year, month, and day in yymmdd format with an mdb suffix. The audit trail file archive folder audarc is then moved to a similarly named sub folder in AuditMaintenanceStore. All current audit records are then cleared, and a new entry should appear on the Audit Trail menu, which will allow the old audit trails to be viewed and printed still.
The Archive option on the Data Management menu will automatically archive the current AuditMaintenanceStore folder.
To view this archived database file, replace the archived file into the LOGSYS directory (first moving the current TQSAudC.mdb to safety). Then, if necessary swap the new AUDARC directory with the archived one. Then run TQSoft and print the required audit records.
You may have TQS licensed either with an internet connection or a USB dongle.
The new internet connection method of license has a number of advantages:
Hassle free It is more hassle free than any other
system. You do not need to plug in extra hardware or use special
master disks. Lost master disks or hardware 'dongles' were a continuous
cause of hassle with old systems - not any more.
Easy to Install No
complicated installation procedures.
Deceased Developers If TQSolutions goes out of
business, you will still be able to use the software. With old systems,
any copy protection problems made your software unusable. Now, your
software will automatically be unlocked should TQSolutions go out of business.
Hardware failures It is not affected by changes
to your hardware.
Transfer to another PC It allows you to transfer the
software to another PC or temporarily put a copy on your laptop.
Automatic updates Any problems are transparently corrected by its own automatic update procedure.
The system is called
CopyMinder. CopyMinder also make guarantees about the web service should that
company go out of business. Visit www.copyminder.com for full
details.
The license that TQSolutions
supplies will require that you are connected to the internet when starting
TQSoft or TQEXPRESS at least once every two weeks.
If you know you will be
working away from a connection for a while, you can use the License Check option on the Setup menu to update for a fresh 2 weeks
use.
If your license is not
re-activated by a connection after 2 weeks the software will still run in demo
mode and allow you to log 20 more tests. Thereafter you can re-connect to
re-activate your installation at any time.
The license that TQSolutions supplies will allow you to temporarily install and use TQS on another computer, should you stop using it on the original PC then the new PC will become your ‘new’ installation.
Do not insert the dongle before installing the TQS CD. The TQS installation program automatically installs the required drivers for the USB hardware dongle.
You must ensure that you always have the
dongle inserted when running TQSoft and TQEXPRESS. Dongle can be used on more
than one computer, but not at the same time.
Once the license is successfully installed, a license code will determine which components of the software are operational. The license details including the code number can be seen in the TQSoft About window. The components of the Code number are shown in the table here. The number for each software component licensed is added up to get a total which is the Code No.
Example:
TQSoft (10) with TQEXPRESS (16) with Designer (32)
with Universal Reports Manager (1024) = 1082
|
Software Component |
License Number Component |
|
SVR2 |
1 |
|
SVR2 Part6 reports |
4 |
|
TQSoft |
2 + 8 |
|
TQEXPRESS Report Manager Window |
16 |
|
TQEXPRESS Reports Designer Tool |
32 |
|
TQSoft Reporting Only (Logging button hidden) |
64 |
|
SVR2 Quarterly Tests only |
128 |
|
TQEXPRESS Washer Disinfector Reports |
256 |
|
TQEXPRESS Autoclave Reports |
512 |
|
Universal Reports Manager (PDF conversion with
PDFfactory) |
1024 |
|
Version 4 |
2048 |
|
Version 5 |
4096 |
|
Version 6 |
16384 |
|
Version 7 |
32768 |
|
Version 8 |
655536 |
|
Version 9 |
131072 |
These will connect to PC with the supplied USB cable and supplied drivers from Fluke. Then, start TQSoft and choose Select Type of Logger/Recorder on the Logger menu.
Use the Test Connection button to get TQSoft to scan the available COM ports for a unit.
Once connected users can select the Universal Channel Configuration to program the unit for type T thermocouple channels. Channel configurations can be modified on Setup menu then Edit Channel Configurations.
The Logger Control option on the Logger menu will show the logger management window...
![]()

Memory tab allows memory files to be transferred to USB, downloaded (or imported) to TQSoft. And it allows USB files to be downloaded to TQSoft.
Configure tab allows the unit to be programmed with channel configuration and calibration contained in a Test Specification. User can then log files in memory for later download into TQSoft.
The software will use a scan rate for calibration dependent on the Measurement Rate and number of channels, unless the ‘always use for calibrations’ is used to override.
When
calibrating with TQSoft the Hydra and
input module serial numbers and slot numbers are stored in the calibration
record. At the start of a validation the serial numbers in the cal are compared
to the connected equipment and operator is warned if there is any discrepancy.
TQSoft can use the secure memory to store complete tests, so the logger can be programmed by TQSoft, then carried separately to the location of the test, and after returned to the PC to have the data downloaded to a standard TQSoft test record. The procedure is as follows….
The LAN option requires the Fluke unit is set to LAN in Instrument Setting on the front panel. The slave address will also be shown there.
In addition the PC Network & Internet/Change Adapter options for the active connection must be modified. Right click the active connection and choose Properties.
If the Fluke address were 192.168.001.074 you would set the PC IP address like this although 001 is optional and may not be available:
![]()
The Fluke logger uses a proprietary protocol. When the Fluke logger is selected from the Select Logger option, TQSOFT displays a connection window shown below. This window also appears if the Fluke is connected to the PC with TQSOFT running. When a Fluke unit is first connected TQSOFT will attempt to configure it to match the current TQSOFT Channel Configuration, and the current TQSOFT Calibration file If you do not want this, press Cancel on the connection window. If you press Cancel you should know that the values displayed in TQSOFT may not correspond to the correct channel numbers in the Fluke, and the calibration (Mx + B) settings may not match those in TQSoft.

TQSoft is designed to work best with the calibration factors and offsets 'active in PC', and the logger containing no calibration data. Please note here that calibration data held in the Fluke loggers may no longer subject to the audit and security requirements of 21 CFR Part 11. This is the case whether TQSoft or any other software package is used.
However it may be that some users would need the calibration factors and offsets performed in the logger. If this is the case, then select Calibration Files from the TQSoft Logger menu, and switch off the active in PC setting. TQSoft will download the currently selected calibration data (held in the calibration file) to the logger. In this configuration TQSoft will have the following behaviour:
Will not allow a calibration to be performed.
Will always alert when a test is started, but will still store relevant calibration records with the test record.
IMPORTANT: Will ignore the 'selection' of another calibration file, either at the start of a test, or manually. To get TQSoft to download contents of another calibration file, user must switch ON active in PC setting, select required file, then switch back OFF.
Will show values in the inputs display window in red.
The 20 thermocouple channel Fluke Data Bucket also has a channel 0, for a total of 21 channels. With TQSoft version 7.1.0 Fluke channel 001 is no longer considered TQSoft channel 1. Now Fluke channels 101 through 120 correspond to TQSoft channels 1 through 20. Fluke channel 001 is now unavailable for old Hydra models.
When configuring the Fluke from The TQSoft Channel Configuration it works as follows.
Any channel that is configured as a thermocouple will be configured in the Fluke as TEMP,T (see Fluke documentation).
PT100 2 or 4 wire are configured as TEMP,PT,2 or 4. Four wire channels must be configured as channel 1 to 10. If channel x is used as 4 wire then channel 10 + x is used automatically by the Fluke, and should be configured as NOT USED.
Any other channel will be configured in the Fluke as VAC,AUTO (see Fluke documentation).
TQSOFT provides a Logger Control window (shown here) under the
Logger drop down menu. The window allows the fast measurement option to be
selected. Fast scanning is not recommended for validation work. The channel
setup displayed in the table is based on the current configuration in the Fluke
connected. Fluke scans can be displayed in the response box by pressing Get
Scan. Scanning can be switched on and off. Temporary
changes can be made to the channel configuration and Scan interval by using
the Update Fluke button.
When Start Logging is pressed TQSOFT will completely reconfigure the Fluke by downloading the Channel Configuration in the Test Specification file. In addition, any channels that are not selected for logging are set to OFF. This considerably speeds up logging small numbers of channels.
At the end of a test, TQSOFT leaves the Fluke configuration alone. Any channels not logged will therefore remain OFF. Beware of this if you decide to calibrate just after a test. When TQSOFT is restarted the Fluke can be reconfigured (See above).
During a test TQSOFT locks out the front controls of the Fluke. Note that is the Fluke is disconnected and taken away while still logging the controls will remain LOCKED.
If a test is started and a PC crash occurs, TQSOFT can be restarted and will automatically query the Fluke for its channel setup and resume logging. Provided no more than 100 scans have been stored during the PC downtime, no scans will be lost. Provided the same Fluke is used there will be no problems.
If a test is started and the Fluke is disconnected, when it is reconnected TQSOFT will assume that it is the same Fluke logger and will continue to log. Provided the same Fluke is used there will be no problems.
The TQSoft Validation software in it’s development as a truly open system will interface to the Digistrip 4C, 4M, 4S, 4Plus, DigiLink, Digi 4Plus Validator, Portable Validator and Validator KL models of recorder as manufactured by Kaye Instruments Inc.
In order to successfully acquire data from the Kaye equipment in a compliant 21CFRp11 environment the following information explains the simple requirements and reasons for those requirements.
TQSoft v3 will use and configure the Kaye logger as a straightforward input device for measured variables (temperatures, pressures etc) and use TQSoft for sensor calibration and deriving calculated variables.
For users with operator panels please see page 2-32 of the Digi 4 Plus Users Guide for details of how to prevent access.
PLEASE NOTE…Logger must have DIP switch S2 set for TRM protocol.
All data required to be stored in TQSoft’s binary file for subsequent graphical and tabular data presentation should be located somewhere in channels 101 – 216.
To permit faster data capture than is possible by writing data to the Digi recorder, a dedicated Report (4) is configured by TQSoft when establishing communications with the Digi.
The interface uses the TRM protocol of the Kaye Digi/Validators, enabling the Digi to initiate the data transfer when it’s data is refreshed after each scan (using the analog scan status bit as report 4 trigger). The Digi must have Dip switch S2 (See section 2.5 Digi 4 Plus User Guide) set for TRM protocol, otherwise TQSoft will not display channel values in the Inputs Display window.
For all models of Digistrip and the Portable Validator the standard Kaye 25/9 serial cable can be used as the serial interface cable with TQSoft. The connection is made to the designated comms port of the PC.
The model Validator KL should use the serial cable W1890 (9 Pin D-SUB female to 9 Pin D-SUB female) as supplied by Kaye. The connection is made to the designated comms port of the PC.
The serial communications cable for these devices is a 9 Pin D-SUB female to 9 Pin D-SUB female cable connected as below: These cables are available from TQSolutions.

The connection is made to the designated comms port of the PC.
Use of the IRTD will require using the Calibration Interface unit (X1715), associated power supply and the CIU to PC serial cable (W1890-1). The connection is made to the designated comms port of the PC.
The IRTD address MUST be set up the same as the address setting in TQSoft. The address can be found in the Reference Probe Control option on the Reference Probe drop down menu.
Once
successfully connected, on selection and at start of calibration, the Kaye IRTD label will be queried. The
LOGSYS.INI “General” entry “Kaye IRTD Label Format" will
specify what data the label will contain:
"MMMMMMM-SSSSS"
for model - serial number combination (this is default).
Or
"RRRRRRR-SSSSS" for recalibration date - serial number combination.
IRTD will be queried on selection and at start of a calibration. Test Equipment will be auto updated with results.
Start TQSoft and select the Kaye Logger from the select logger menu option on the Logger menu. The default communications parameters should work in most cases.
When prompted for the Channel Configuration file, select the Universal Channel Configuration and adjust it for local and specific requirements using the Edit Channel Configuration option on the Setup menu.
TQSoft validates and configures the Kaye loggers. (See note 1 for more details)
![]()
During this process TQSoft displays a connection window shown below. This window will not
appear if the logger is connected to the PC while TQSoft is running. If you
connect while TQSoft is running, select the logger again, because the
connection window performs a number of validation checks on the configuration
of the logger. See Note 1 and 2 for complete details.
When a unit is first connected TQSoft will:
Log on with default access code 000 and unit ID 01. It is possible to modify the unit ID in the logger control window shown below.
Then send the PC date and time to the logger.
TQSoft sets a randomly generated program mode password to the Digi. This will ensure integrity of the Kaye logger configuration whilst TQSoft is in use by inhibiting access to the Kaye configuration by any front panel programming facility.
The password is reset when TQSoft is exited. However if the PC crashes while TQSoft is running you will need to either restart TQSoft and exit, or hardware reset the Digi (this will revert password to 000000).
Then query the unit to find out the name of the program loaded.
Then query reports 1 to 3 in order to find out the destination of any of these reports, if any is destined for the serial communications port, TQSoft will re-program the destination with the serial port option switched off.
Then query the trigger for report 4. If this is not set as the analogue scan complete register (083), then TQSoft will re-program the trigger as the analogue scan complete.
Then query report 4 for its configuration. If it is not set up to send report lines 100, 200, 700 then TQSoft will re-program report 4 for these lines precisely.
Then proceeds to put the logger into automatic transmission mode, and scans are displayed by TQSoft in the inputs display window.
A Channel Configuration library can be supplied on request containing 4 configurations applicable only to the Kaye loggers.
As supplied, these configurations are named
Kaye 16 Channel Setup (0.01C)
Kaye 32 Channel Setup (0.01C)
Kaye 16 Channel Setup (0.1F)
Kaye 32 Channel Setup (0.1F)
As supplied these files will download the following channel assignments to the connected Kaye logger.
Kaye 16C – Channels 101 – 115 Type T T/C 0.010C resolution, no calibration offsets, no filtering, use of logger CJC.
Channel 116 12V Linear Unbounded, 3 decimal places, no calibration offsets, no filtering.
Kaye 32C – Channels 101 – 215 Type T T/C 0.010C resolution, no calibration offsets, no filtering, use of logger CJC.
Channel 216 12V Linear Unbounded, 3 decimal places, no calibration offsets, no filtering
Kaye 16F – Channels 101 – 115 Type T T/C 0.10F resolution, no calibration offsets, no filtering, use of logger CJC.
Channel 116 12V Linear Unbounded, 3 decimal places, no calibration offsets, no filtering
Kaye 32F – Channels 101 – 215 Type T T/C 0.10F resolution, no calibration offsets, no filtering, use of logger CJC.
Channel 216 12V Linear Unbounded, 3 decimal places, no calibration offsets, no filtering
These “default” files can be edited to
supply any mix of channels for Type T T/Cs and linear inputs if required, from
the “Edit Configuration File” utility.
There is a channel input “type” in the TQSoft channel configuration utility called “derived channel”. This is to be selected for any channel to be used for storing Digi calculated data in Row 700, e.g. cycle time, exposure time, Maximum, Minimum etc. Derived variables are NOT trended on the display in real time They ARE available for trending in historical data presentation.
N.B. Any calculations derived in this way from the logger firmware are not programmed from the TQSoft secure interface and cannot therefore be regarded as 21CFR p 11 compliant. To maintain compliance calculations must be performed within TQSoft.
Note 3 Number of channels
1. Version 8 TQSoft. During initialization software will check LOGSYS.INI entry “Kaye number channels” and will configure scanners and reports accordingly.
2. It also controls calibration scan rate at 10 seconds.
Compliance with the the audit and security requirements of 21 CFR Part 11 dictates TQSoft sets calibration factors and offsets 'active in PC', and the logger containing no calibration data.
TQSoft provides a Logger Control window (shown below) under the Logger drop down menu.

CARRIER DETECT OFF indicates that the serial cable you are using does not have the carrier detect line wired. Without the carrier detect TQSoft cannot always detect when the Digistrip unit is disconnected, connected switched on or switched off.
The Unit ID is used by TQSoft to log on with the Digistrip. If it is wrong TQSoft will alert and it will not be possible to establish communications with the unit.
The Command to send allows you to test communications or query the Digistrip for any of its parameters.
The Response window displays any data received from the Digistrip.
TQSoft
version 7.1.0 has an updated driver for Validator firmware 3.62. The driver can
now scan ports for a Validator query it for serial number, calibration date and
setup name.
When
a connection is established TQSoft will generate test equipment records for the
Validator and ‘sims’, called input modules in TQSoft.
If
the setup name in the Validator does not match any channel configuration in
TQSoft the user is offered the option to upload a channel configuration. If declined be aware that the TQSoft channel
setup will not match that in Validator.
An
IRTD and thermal bath can be connected to the Validator and TQSoft will read
them, but for an automatic calibration the, bath still needs to be connected
directly to PC for control.
Validator
sensors can be calibrated using TQSoft, and then validations performed with PC
connected to the Validator. TQSoft does not upload calibration to the
Validator, so data files generated in the Validator will be un-calibrated. For
the next version of TQSoft it is planned to read the data files and apply the
calibration.
When
calibrating with TQSoft the Validator and input module serial numbers and slot
numbers are stored in the calibration record. At the start of a validation the
serial numbers in the cal are compared to the connected equipment and operator
is warned if there is any discrepancy.
The recorder needs to be fitted with a communications module code LA244216. See the Eurotherm communications manual for the cable connection details. Looking ad the back of the recorder, the 9 way male connector on the right must be used for RS232 communications with a computer.
To set up communications, on the recorder menu, go into CONFIG, then select COMMS (will only appear if comms module correctly fitted and recorder re-booted). Select the ANSI protocol and note the baud rate setting.
To check communications:
shut down TQSoft.
connect the cable,
set up terminal (Win95) or hyperterminal on the PC with the correct direct communication port and baud rate settings.
On the recorder go into CONFIG.
then select DIAGS.
then COMMS.
then select TALK mode
the PC terminal window should show the talk character being continuously transmitted.
shut down terminal before starting TQSoft.
You then need to decide if you need to use the recorder chart:
If yes, then the channel calibration needs to be kept in the recorder. At present, there is no automatic way to transfer calibration results from TQSoft to the recorder. You will either need to calibrate using TQSoft and program the recorder with the factors and offset, or calibrate the recorder independently of TQSoft. You can still use the calibration checking features of TQSoft.
If no, you can use the TQSOFT calibration facilities, and you should ensure that there is no calibration operating in the recorder.
There is a special facility for sending information concerning a test to recorder chart. It is in the Logger Control option on the Logger menu.
The Anville loggers will use the default communications settings shown
opposite. (COM2 depends on PC used).
The Daisy Chaining option allows a second logger (any
model) to be connected to the system. To do this follow these instructions:
Connect the logger to be connected from its SERIAL OUT
port, to the first loggers' SERIAL IN port, using an Anville communications
cable.
The Daisy Chain option also requires that the address
of the first logger is zero,
and the address of the daisy chained logger is 1. Modify the address using the UNIT CONFIGURATION dip switches on
the side of the logger units.
Use the Select type of logger option selecting the
model of the first logger (connected directly to the PC).
The TQSoft Inputs
Display window should then show all channels from both loggers. If the
selected logger is a 425 (16 channels), channel 1 of the daisy chained logger
will appear as channel 17 in TQSoft.

The Anville Logger control window shown here is
available from the Logger drop down menu. The correct address (UNIT
CONFIGURATION dip switches on the side of the logger unit) is required to
communicate with the logger connected directly to the PC.
The current scan
interval can be adjusted here for test purposes, but is controlled during
tests by a setting in a Test Specification file. This feature will be used for
diagnostics.
Commands can be sent to the connected loggers using
the type command box. Consult the
logger communications manual for full details of the logger communications
protocol. The string shown queries the first 8 channels of unit address 0. When
send is pressed the response is shown
in the response panel and the time
taken to respond is shown in the Time box.
This feature will be used for diagnostics.
Version 5.2 onward will automatically show the scales
of multiple unit measurements made in a test. If custom units are entered into
the Channel Configuration window,
user must be sure to add the range to the Test
Specification Chart Configuration
button.
This function is provided for two main reasons. First
as a faster way of completing many acceptance tests where the source of the
channel values is irrelevant and precise control of values is required. And
second as a tool for training and demonstration purposes.
The Logger menu option Logger Control gives
access to this window if the Simulation logger has been selected in the Select
type of Logger option:

Set Simulation Probe Value allows you to set the value of all or any one channel by entering the value
in the text box on the right then pressing ENTER.
Increment makes all
values increment each scan by the value set. This can be used to simulate a
simple heat up hold and cool.
Values Fluctuate makes all
values vary by up to about 0.3 each scan. This can be used to test drift
monitoring during calibration validation.
Simulation Test allows a
test to be selected (small button to the right) for playback at the speed
specified in Simulation Playback Speed.
To playback a test you will need to:
Ensure simulation logger is selected.
Go to Logger Control.
Select the simulation test and press Quit
to confirm the selection.
Press Start Logging and select a test
specification that has a compatible channel configuration and the same
probes selected. This is essential otherwise the test will not playback
correctly. The best way is to use the Test Specification that was used when the
test was originally logged. You can open the simulation control window during
the test to control the playback speed.
The playback will end when the logged test ends, but
the Stop Logging button must then be pressed to take TQSoft out of
logging mode.
TQSoft now
supports KeySight 970A, 34972A, and 34970A.
There are
significant differences between these models as they have been upgraded over
the years.
Users with 34901A channel multiplexer will need to
set current channels 21 and 22 to OFF in TQSoft Edit Channel Configuration option to avoid configuration errors.
Users
wishing to use memory should read ‘How to use the Loggers Remote from TQSoft
with Memory’ below.
a)
The oldest logger only has RS232 or GPIB
connection to TQSoft. It is possible to configure the unit for RS232 at baud
115,200, and then use the Agilent 3497XA USB/LAN/GPIB TQSoft driver with a VISA
address (see below). Doing this makes it fast enough to use the 50,000 memory
measurements.
b)
Its possible to connect to this model
using the GPIB to USB converter model 82357B from
Agilent Technologies. This connection method is faster and supports the 50,000
memory measurements in this model. Use the Agilent 3497XA USB/LAN/GPIB driver.
c)
RS232 connection has its own item in Select
Type of Logger. This connection is slow and is prone to communications
issues possibly caused by electric noise. This connection method does NOT
support memory.
d)
It is possible that the GPIB connection
will be more reliable than the RS232 connection.
e)
With this driver selected the Logger
Control window shows an option ‘Record data file in memory’. See section How to
use the Memory below.
f)
TQSoft supports the 50,000 memory
measurements, but it is limited and slow. 50,000 measurements can take approx.
20 minutes to download!
g)
When TQSoft detects measurements in memory
it will offer to save the data in CSV format to the c:\TQSoft\CSV
folder. This data can only be imported into TQSoft if the unit was configured
for scanning by TQSoft so that the measurements are in correct format.
h)
With memory option checked TQSoft will
configure stored data for 24 hour format, this slows the operation down, so
maximum scanning rate will not be as fast as with memory option unchecked.
i)
USB memory is NOT available on this model.
a) To connect to 34972A the Agilent/KeySight IO Libraries Suite software must first be installed. Then run the KeySight Connection Expert program. Click on the instrument and the ‘VISA’ address of the logger will be shown below. The address must be copied and pasted into the TQSoft Select Type of logger window.

b)
This model can connect vis USB or LAN
using the Agilent 3497XA USB/LAN/GPIB driver.
c)
We are not sure if there is a speed
difference between USB/LAN.
d)
TQSoft supports the 100,000 memory
measurements, but it is far better to use the USB option. When TQSoft detects
measurements in memory it will offer to save the data in CSV format to the c:\TQSoft\CSV
folder. This data can only be imported into TQSoft if the unit was configured
for scanning by TQSoft so that the measurements are in correct format.
e)
With Logger Control/Record data
file in memory option checked TQSoft will configure stored data for 24 hour
format, this slows the operation down, so maximum scanning rate will not be as
fast as with memory option unchecked. See section How to use the Memory below.
f)
USB memory is supported by TQSoft. The
34972A cannot log data files to its internal memory. The best way to log
data files on the unit is to use the USB option. Then use the Program
button to configure the unit for remote data logging. The CSV data files will
later be found in the 34972A folder on the USB device. This unit does
not support files listed in TQSoft so you will need to manually copy the files
into c:\TQSoft\CSV and perhaps rename them.
a)
This model can connect via USB or LAN
using the KeySight 970A driver. For connection see above for 34972A.
b)
We are not sure if there is a speed
difference between USB/LAN.
c)
TQSoft supports the 1,000,000 memory
measurements, but it is far better to use the USB option. When TQSoft detects
measurements in memory it will offer to save the data in CSV format to the c:\TQSoft\CSV
folder. This data can only be imported into TQSoft if the unit was configured
for scanning by TQSoft so that the measurements are in correct format.
d)
With Logger Control/Record data
file in memory option checked TQSoft will configure stored data for 24 hour
format, this slows the operation down, so maximum scanning rate will not be as
fast as with memory option unchecked. See section How to use the Memory below.
e)
USB memory is supported by TQSoft. The
970A cannot log data files to its internal memory. The best way to log
data files on the unit is to use the USB option. Then use the Program
button to configure the unit for remote data logging. The data files will later
be found in the DAQ970A folder on the USB device. TQSoft is able to list
all files in this unit for convenient copy/delete/import.
For those
users interested in using the logger remote from the PC and returning to PC to
download data, this procedure is the best:
This method
is not so good and quite limited on the 3497XA (50,000 measurements). Please be
aware that once the memory limit is reached oldest measurements in memory
will be overwritten and will no longer be available for download to TQSoft.
Its
possible to use the measurements stored in memory so long as the unit was
configured by TQSoft before the measurements were made. Only one set of data
will be available.
TQSoft will
offer to dump the memory into a CSV file for import into TQSoft. The folder is
c:\TQSoft\CSV. The Historic Tests window must be configured for Import
Files, and Remake used to refresh the list.
On start up
TQSoft will query the Agilent logger for input modules installed and
automatically configure itself for the correct number of channels, however it
is up to the user to select and perhaps modify the correct channel
configuration file within TQSoft.
Users with 34901A channel multiplexer will need to
set current channels 21 and 22 to OFF in TQSoft Edit Channel Configuration option to avoid configuration errors.
On
connection TQSoft will program the Agilent channel configuration and then
delete any calibration data in the Agilent logger. This is for 21CFR
compliancy. All calibration is processed in TQSoft.
TQSoft will
automatically detect the modules inserted in the logger and then use up to 60
channels.
It is up to
the user to ensure that the channel configuration programmed in TQSoft on Setup
then Channel Configuration, is correct for the set up of the logger
being used.
When a test
is started TQSoft programs the logger with the channel configuration file
selected in the Test Specification.
During a
test the logger is programmed to scan only those channels selected in the Test
Specification at the specified scan rate.
If the 34972A or 970A with LAN connection becomes disconnected or switched off while TQSoft is attempting communications a number of error messages may appear before communications are aborted.
Once unit is switched back on or re-connected, you must wait 3 minutes before TQSoft can discover the unit on LAN again.
TQSoft version 3 and TQEXPRESS version 3.2 have a
number of new features that enable a sophisticated independent Chamber
monitoring system to be configured. Briefly the TQSoft Monitoring system
addresses these basic requirements.
Up to 8 autoclaves can be monitored from a single PC
running Windows.
Each autoclave may have up to 16 probes installed
(temperature or pressure).
Probes may be shared from several large centralized
loggers, or each Chamber can have a dedicated smaller logger (distributed), or
a mix of centralized and distributed loggers.
![]()
Each Chamber should have every process automatically logged to a unique
test record in a CFR21 Part11 compliant software environment.
The monitoring software should have facilities for
calibration, calibrations checking, calibration documentation, process
analysis, charts, data listings, test setup reports, management of all
records, automatic and manual archiving.
The previous paragraph broadly coverers the many
existing features of TQSoft with the exception of process analysis. The process
analysis function should have the ability to independently identify the
sterilizing temperature of a logged test, match the test to a pre-programmed
test specification, analyse the test, compare the results with
pre-programmed.limits with tolerences, and perform certain actions on fail
conditions.
Finally the monitoring software should have the
ability to interface with the Chamber control system in order to retrieve and
archive traceability information such as load identification, operator ID etc.
In addition to all the existing features of TQSoft as
a custom designed package for thermal validation the new monitoring features
make TQSoft an incredibly powerful tool for automatic monitoring.
In order to monitor several Chambers at a time,
multiple copies of TQSoft can be run on the same PC. Each copy of TQSoft has
its own configuration file containing, for example, all window positions and
sizes. The TQSoft's are managed with a special TQEXPRESS template, which can
serve a dual function as a mimic window. An example is shown below.

When opening the special TQEXPRESS monitoring window,
all required copies of TQSoft are automatically started with their correct
configuration file and with the operator password and ID of the person that
logged into TQEXPRESS.
The monitor TQSofts should have a minimum of operator
interface available. The TQSoft button wording is removed. Note that the Start
and Stop Logging buttons should be configured as not available too,
since these functions are automated.
Each monitor TQSoft can have its Historical Tests
List configured to show only tests for that Chamber.
Each TQSoft can have its own logger selection. So each
TQSoft can have a different logger and communications port selected to achieve
the Distributed Logger Configuration requirement shown in diagram in
basic requirements.
However, TQSoft cannot directly share communications
ports. Suppose we have four Chambers A, B, C, D, each of which use a different
set of channels on a single logger. (Centralized Logger Configuration)
This is achieved by running another (5th) copy of TQSoft configured
to communicate with the logger, scanning all channels continuously as fast as
possible. This is called the SERVER TQSoft. The four further copies of
TQSoft (A, B, C, D) are configured under Select Type of Logger as a
'MONITOR' logger. Each 'MONITOR' TQSoft then gets the channels it requires from
the SERVER TQSoft. Channels can even be shared.
Each TQSoft can be configured, under Logger Control,
to automatically start logging when a specified digital input switches on. And
stop logging when the same input goes off.
All warnings and messages that halt the program while
waiting for an operator decision are switched off when in automatic mode.
Each TQSoft can be configured, under Logger Control,
to use a particular Test Specification when automatically started.
If the Chamber is a multi cycle Chamber with different
process temperatures for the sterilization or disinfection stages, a special Test
Specification needs to be constructed. '0' should be entered into
the test specification sterilization temperature, and special limits setup for
each possible temperature the Chamber processes at. Each special limit should
point to another Test Specification which is the one TQSoft would use
were the process temperature known.
When TQSoft sees a '0' for the sterilizing
temperature, along with several special limits, it will not perform any
analysis (even time at temperature) until the end of the test. Then it
will perform an identification analysis, to match the test to the correct Test
Specification. The Test record is updated with the correct Test
Specification data, and a full TQEXPRESS analysis performed.
The identification analysis assumes that the
process temperatures were achieved to within certain tolerances. If this
assumption was wrong then the test will either not be identified, or will be
identified with the wrong Test Specification.
If not identified, then no harm is done since the test
is labelled as not identified, no analysis is carried out, and all such
functions can be carried out historically manually.
If wrongly identified, it is likely that the test will
fail any limits that are set up. So if wrong identification is considered an
important issue, the user should be sure to program appropriate limits that
will highlight any malfunction of the identification analysis, by
signalling a fail.
When the full analysis is completed, TQSoft looks at
any programmed limits and compares the analysis results with the limit
tolerances. An example of a check on the hold time is shown and explained
below. Any boxes left blank are not relevant for calculation limits and are
discussed in the section Test Specification.

The calculation section and field are
chosen from a comprehensive list of possibilities that cover all stages of the
test, using the button just to the right.
The action on fail display message checkbox
simply displays a message box on the PC screen identifying the test, the limit
and the nature of the fail. The message must be cleared by an operator, or
TQSoft shut down.
The log event checkbox will make TQSoft record
any failure in the Limits Report on the Current Test menu.
The highlight test checkbox will flag the fail
in the historical test listing and mark the test in red.
The email option simply sends the same
information contained in the message to the selected email recipient.
The target value and lower and upper
limits are self-explanatory. The units are selectable, so limit checks on
temperature or pressure require correct unit selection. Target value is
only relevant when percentage limits are used, it can be left blank when
percentage not used. Either upper or lower limit, or both, ca be
entered. If one is left blank TQSoft ignores it. In this example if the hold
time is greater than 3 mins 18 secs, or less than 3 mins, a fail condition is
flagged.
It hardly needs mentioning that monitoring TQSofts can
be configured to automatically archive tests.
When any TQSoft is in automatic mode, calibration and
calibration checking files are NOT duplicated to each test record.
TQSoft version 3 has a number of new features added
that make it well suited for long term continuous monitoring of process and
environment.
The scan interval in a test specification has
a new maximum of 7200 seconds (2 hours).
If a test chart has a time axis greater than 48 hours,
then the times will be displayed as dates. Moreover, where time offsets into a
test (for example a stage times), are greater than 24 hours, the times are
displayed in dd:hh:mm:ss format. Otherwise times are displayed in normal
hh:mm:ss format. This does not apply to the time column in the Data
Listing.

There are new control parameters in a Test
Specification (diagram below) to allow for continuous automatic
monitoring. Continuous Monitoring will cause logging to re-start
automatically when the Auto stop logging after time has elapsed. If Start
new file at midnight is also checked, then logging is automatically stopped
and started the midnight before the 'auto stop logging after' time
has elapsed.

The new limits tab in the Test Specification allows
groups of values to be continuously monitored. The screen below illustrates how
an Interval Monitoring limit can be set up to monitor the maximum value
of a group of channels between two times during each day. The next section
shows that special stages can be automatically inserted at a programmed time of
day. (the times are programmed in the Stages tab, not the Limits tab
shown below.)
Items left blank are not required for INTERVAL
Monitoring.
To setup a limit for continuous monitoring follow this
sequence:
Give the limit a name.
Press the button to the right of the calculation selections.
This shows the analysis field selection window. Double click on the INTERVAL
Monitoring section and then double click one of the calculations available.
The section and field should be filled in automatically.
Select a start and end stage. These will
normally be special automatic stages, because any other stages would have to be
inserted manually. The stages have to be configured for an insertion time in
the stages tab.
Press the Interval Probes button and select
which probes are to be monitored.
Click on the required actions in the event of a fail.
Remember the log event, display message and email actions
will be performed EACH time the calculation being monitored goes out and
back into specification. Leave the Insert stage blank. The log events
can be seen in the Limits Report on the Current Test menu.
If you want the limit drawn on the chart then click
the Show on chart box and set up a colour.
Leave identification limit blank.
The limits can be programmed for a percentage
from a target value, or as direct values. Both upper and lower are
optional.

Special stages with codes 40 to 43 can be set up to be
put into a logged file automatically at a particular time of day. In the test
specification stages tab the INT: setting should be set up as shown below (hh:mm
24 hour format). This function allows limits, based on stage intervals, to
be automatically switched at certain times of day.
When an automatic stage is inserted TQSoft sets the INT:
setting to 00:00. This has the effect of
showing all data in the data listing. This will normally be fine for long term
monitoring.

There
are two new buttons on the main toolbar at the right hand end. These will
automatically select the next test on the Historical Test list either
backwards or forwards. Of course if the list is configured to show only a
filtered list, only the filtered tests are selected in the configured order. If
a chart is shown it is automatically updated. This feature is especially useful
if you are continuously monitoring with daily or weekly file records. If the
Historic List is configured to show records sorted on date and time, then new
buttons allow you to easily move through and view the files historically in
correct order.
The limit report option on the Current Test menu will
print all details of limits setup for a test, and detail any logged events that
occurred throughout the test, listed under each limit. Here is an example:
Calibration in TQSoft is designed primarily as an adjustment. For example, 121.06 degrees is adjusted to a calibrated reference of 121.00 degrees.
Pressure calibration is a different case where a transducer voltage (or percentage) value needs SCALING and CALIBRATING to a very different pressure scale. This process is achieved simultaneously within the TQSoft calibration procedure.
It should be understood that a mA current input is converted to a voltage by use of an appropriate “shunt” resistor. Depending on the logger used, this shunt resistor may be incorporated within the logger (e.g. Anville Instruments) or the resistor needs to be connected across the input terminals (e.g. Fluke, Agilent, Kaye etc.)
For example to convert a 20mA input to a 5V input, using simple Ohms Law (V=IR) a 250 ohm resistor would be used.
Pressure transducers supplying BAR G or BAR A values must be configured for 3 decimal places in the appropriate Channel Configuration.
Pressure transducers supplying MILLIBAR values must be configured for 0 decimal places in the appropriate Channel Configuration.
TQSoft’s scaling of pressure/humidity etc can be accomplished easily in the Manual Calibration Adjust option on the Logger menu. Simply select the correct channel and enter the measured voltages and what the corresponding actual values should be.
TQSoft’s calibration of pressure to a qualified reference standard requires the Calibration option on the Logger menu. Only the one required input channel needs selection.
The user enters the low, high and optional mid point pressure/hunidity values to be used and proceeds as directed.
There will be no stability/deviation parameters involved as with temperature calibration.
This procedure is simply equating the measured input voltage from the transducer to the required pressure value. The “deviation” or “error” value displayed during this process is used purely to SCALE the transducer as well as CALIBRATE it and is not significant.
Please first note that the TMI interface will not work with many types of USB or PCMCIA to serial converters. Please contact TMI for details.
Start TQSoft.
On the Logger menu select Type of Logger and then select VACQ3000, and then select the correct COM port for the connection to the TMI logger interface hardware and then press OK.
Use the Import CET Files option on the Logger menu to copy all your logger CET files into TQS (folder called TMI in the LOGSYS folder)
Now on the Logger menu select Logger Control and you should see the window described in the section below. Here you can confirm the functioning and communications of the TMI interface.
Nearly all functions of TQSoft apply to VACQ300 with the exception of the Channel Configuration files. TQSoft automatically reads the channel configuration built into the logger. The only remaining feature of use in TQS Channel Configuration is the trace colours for the chart.
TQSoft allows VACQ3000 to be used in two ways.
As a normal thermocouple logger that can be accessed and temperatures displayed in real time.
As a remote logger like NanoVacq, where the logger is programmed, removed from the PC and data is collected remotely and downloaded into the PC after the test.
With loggers connected to the TMI interface, on the Logger menu select Logger Control. The control window will show logger details and the channels as in this diagram.:

Please note the vp061301[1] in channels. The [1] refers to the channel number within the TMI logger.
You can change the loggers connected to the interface and press the Refresh button.
When replacing a logger battery, click on
the serial number of the logger, and press the Change Battery button.
This will reset the Elapsed
Provided the logger Serial number has been seen in Logger Control, shut the Logger Control window and press the Inputs Display button. After a short delay the channel names and values should appear in the channel values window.
Setup your calibration hardware. Press the Calibration button and select a Calibration File. The Calibration File is where the calibration results will be stored for application to a test later on. Follow the calibration process a for a thermocouple logger.
Now on Setup menu select Test Specifications.
Press the New button and say No to the question and double click on the new Test Specification entry shown.
In the Test Specification window change the name of the file to TMI VACQ3000 Setup 1.
In the Calibration File entry select the one you used to do the calibration.
In the Channel Configuration selection box at the bottom of the window select the Universal entry.
On the probes tab, select the probes you want to log.
That’s all there is to it to start off with so, so press OK to exit and save.
Press the TMI button on the main toolbar.
If you see the TMI Stop Logging window,
press Next.
Select the TMI test specification just created, then press Next again until you see the Control window shown below.

Now pressing the Start Logging button will ignore the Start Time and proceed to log data coming from the VACQ3000 in real time. Data will be stored in the VACQ3000 as well as TQS
Pressing the Program button will program the VACQ3000 for remote logging as if it were a NanoVacq (for example).
Please first note that the TMI interface will not work with many types of USB or PCMCIA to serial converters. Please contact TMI for details.
This driver is for all TMI type 2 loggers of any configuration.
Start TQSoft.
On the Logger menu select Type of Logger and then select TMI Orion Type 2, and then select the correct COM port for the connection to the TMI logger interface hardware and then press OK.
Use the Import CET Files option on the Logger menu to copy all your logger CET files into TQS (folder called TMI in the LOGSYS folder)
Now on the Logger menu select Logger Control and you should see the window described in the section below. Here you can confirm the functioning and communications of the TMI interface.
Many TQSoft functions are not as yet applicable to these TMI loggers. These should be ignored and access denied using the Security window. These functions are:
Most Test Equipment information (used in calibration reports).
Calibration functions on Logger menu.
Calibration Checking functions on Logger menu and main toolbar.
Calibration reports functions on Current Test menu.
Calibrations Files on Logger menu and in Test Specification.
Many of the parameters in the Channel Configuration.
Many of the parameters in the General section of the Test Specification.
User may have many loggers so there may not be enough space in the Test Equipment window to enter all logger serial numbers. However TQSoft allows user to enter logger serial numbers into the location field in the Probes section of a Test Specification. These serial numbers can then displayed on the Test Report, Chart, and Data Listings. See item 4.
User can use TMI loggers with TQSoft in two ways.
First and preferred method involves entering logger serial numbers into a Test Specification as part of a channel location, thereby instructing TQSoft to store data from a particular logger into a particular channel number. The Test Setup Report can then be generated after programming loggers, and used as reference for placing serial numbers in correct locations. This method has drawback that each serial number must be located correctly, and the advantage that channels can then be analysed with the TQSoft I-Calc functions setup as standard. Also locations do not then have to be entered after each test.
Second method involves attaching loggers to interface, program them with a Test Specification (with no probe locations entered), then place loggers in test locations and note location of each logger serial number. After the test, attach loggers to interface and download. In this case TQSoft will put data from loggers into channel numbers dependent only on order returned by the TMI interface software. User could then enter locations into historic test data. This method has advantage that user does not need to be concerned to get correct serial number into correct location in test environment. And has disadvantage that calculations cannot be set up based on specific channel numbers, as the TQSoft I-Calcs are designed to do. Furthermore if locations are required in test reports, they need to be entered in after each test.
Calibration functions are not relevant for Type 2 loggers. Calibration is performed by TMI.
However Calibration checking function could be used to for logger accuracy validation.
With loggers connected to the TMI interface, on the Logger menu select Logger Control. The control window will show logger details and the channels as in this diagram.:

Please note the nf024001[1] in channels. The [1] refers to the channel number within the TMI logger. To refer to this channel in the TQSoft location you must the [1] after the serial number just as it is shown here.
You can change the loggers connected to the interface and press the Refresh button.
When replacing a logger battery, click on
the serial number of the logger, and press the Change Battery button.
This will reset the Elapsed
TQSoft reads the TMI loggers for their channel configurations, the only setting left that may be used in TQS is to set the chart colour for each trace.
On the Setup menu select Channel Configuration and in the drop down Select Channel File select the first one called Agilent. You are going to modify this for TMI.
Change the name to TMI Orion.
In channel type select OFF and select a chart colour, and use arrow button to move to channel 2. Set channel type to OFF and select chart colour for all channels up to 24.
Press OK to exit and save.
Now on Setup menu select Test Specifications.
Press the New button and say No to the question and double click on the new Test Specification entry shown.
In the Test Specification window change the name of the file to TMI Setup 1.
In the Channel Configuration selection box at the bottom of the window select the TMI Orion entry created earlier.
Click on the Probes tab, select as many probes as logger channels you have. To see the channels in the attached loggers go back to the Logger Control window on the Logger menu. You can access this while Test Specification window is still open.
Now enter the serial numbers followed by the TMI channel number in square brackets into the locations as shown here. To activate the edit click on the location cell:

Press OK to exit and save.
Press the TMI button on the main toolbar.
If you see the TMI Stop Logging window,
press Next.
Select the TMI test specification just created, then press Next again until you see the Control window shown below:

On the left the Test Spec list shows the expected channels programmed into the Test Specification. They appear in red if not present on the TMI interface, and a test will not be allowed to start.
In the centre the attached loggers are listed.
On the right is the list of channels on the TMI interface with their TQSoft mapping in the second column. The mapping shows the TQSoft channel number which is the result of the entries in the locations. It allows I-Calcs in the TQSoft Test Specification to make calculations on channels. But it means that operator may have to place specific logger serial numbers in specific locations in the test environment.
Press Program. The screen will ask you to wait a while and if no programming errors occur the window will vanish. At this point you can use the Historical Tests button to select the test just started. The Data Listing and Chart buttons will not work since the test data has not been created yet, but the Test Setup Report will show the channel configuration and locations (see below), and can be used as a reference for locating the loggers.

At this point it is possible to attach another batch of loggers and use another Test Specification (with different serial numbers in locations) to start another test. Simply press the TMI button and press Next to skip the Stop Logging screen.
The Stop Logging window looks like this:

Clicking on the OPEN LOGGER TEST list will show the LOGGERS list which is the serial numbers that were programmed for the test.
If serial number are missing they will be shown in red, but it will still be possible to Stop Logging and create a test record with the data from the missing channels missing.
To remove items from the OPEN LOGGER TEST list without creating a test record, disconnect all loggers and press Stop Logging.
When Stop Logging is pressed TQSoft will take a while to construct all data files and providing no errors occur the window will vanish and the test will become the current selection for Chart and Data Listing.
TQSoft has a test simulation test feature which allows tests to be replayed at varying speeds. This feature has been used for validating the software and for demonstration purposes. It is especially powerful because it allows Test Specifications with complex I-Calcs to be tested thoroughly using previously logged data sets.
Here is the procedure to set up a test replay:
Decide which test you want to use.
Create a new Test Specification and give it a sensible name.
In the new Test Specification, duplicate the channel configuration selection. (If the test has come from another PC and the original channel configuration is not available, simply set up a compatible channel configuration.)
Select the same probes for logging.
There is no need to do any more in the Test Specification at this stage, but calculations etc can be set up now or later.
Exit and save,
If the SIMULATION logger is not selected, then select it in Logger then Select Type of Logger.
Go to Logger Control on the Logger menu.
In Simulation Test use the small button to the right to select the test decided on at step 1.
Can adjust the Simulation Playback Speed at any time.
Now Start Logging and use the new Test Specification.
Please note that if you wish to use these drivers you will need first to install the NTool32_DLL.exe from the CD in the Fluke2680Support folder.
For full explanation of Fluke 2680 and NetDAQ TCP/IP communication protocols please consult the relevant Fluke documentation, for example the “Getting Started” manual that is supplied with the instrument. This manual assumes that the computer and Fluke logger communication parameters and connection cabling are set up appropriately, as specified therein, for the TCPI/IP Network Mode chosen by the user. In particular for Isolated Mode the computer’s IP address must be set to 198.178.246.100 and its subnet mask to 255.255.255.0.
Please note that once the Fluke is selected as the active logger in TQSoft, the type of inputs list in the Channel Configuration will be customized for the Fluke. So it is best to configure a channel configuration after setting up the logger as active logger successfully.
To setup the 2680 or NetDAQ for Isolated Mode communications:
Connect the crossover cable (10/100BaseT cable ) supplied by Fluke and switch the logger on.
On the Fluke front panel verify that the Base Channel Number (BCN) is set to 1 for NetDAQ (10 for 2680).
On the Fluke front panel verify that the Network Mode is set to Isolated.
To setup the PC for Isolated Mode communications:
Set the PC IP address and subnet mask to the values mentioned in opening paragraph.
Connect the cable.
Start TQSoft
On the PC, change to IP address and subnet mask to values mentioned in opening paragraph. If unsure how to do this please consult the Fluke ‘Getting Started’ Guide.
Start TQSoft.
On Logger menu select Type of Logger and select Fluke2680 or NetDAQ.
If there was a previous connection to a Fluke logger those used for the most recent such connection will be loaded and displayed.
The default values for these are: Isolated, 4369, 10, 198.178.246.10 and 2640A, which are suitable for a direct connection to a NetDAQ. Or : Isolated, 4369, 1, 198.178.246.1 and 2686A Fluke 2680 model 2686A, which has a PC card. These will be displayed when there has been no previous connection to a Fluke logger
Clicking the Select Connection button
will lead cause the form

to be displayed as shown. This form
enables editing of the CCF.cfg file, which holds sets of Fluke 2680 and NetDAQ
loggers’ communication parameters.
TQSoft can only access such a logger if it is registered in this file.
Clicking Select Instrument dropdown shows this list. For each logger the Base Channel Number, Model Name and IP Address are shown. If the selected Network Mode is Isolated the IP number shown is the Isolated one 198.178.246.XX, where XX is the BCN number, otherwise the General one is shown.
On selection from the list a logger becomes the form’s “selected Instrument” and these properties are be displayed in the Instrument area. Clicking OK will close the form and these selected Instrument parameters will be shown on the Select type of logger window.
On selection of a logger from the list the Delete button will become operable and some of the displayed fields become editable or selectable. When the Network Mode is Isolated the TCP Port Number and the IP Address fields will NOT be editable.
On the Select type of logger form if the OK button is clicked the software will attempt to verify that communication with a logger can be established with the displayed communication parameters. If this succeeds a message is displayed giving details of the logger, the form is closed and TQSoft initiates “real time out of test (no logging)” mode for the selected logger.
User will then be presented with the channel configuration selection window. As mentioned earlier it is best to press cancel here and proceed straight to the Channel Configuration option on the Setup menu.
Choose a channel configuration that is spare or will not be used and modify the name text box to reference 2680 or NetDAQ.
Configure each channel according to the connections in the Fluke Input modules, setting any surplus channels to OFF.
Please note here that the locations do not have to be set yet. This is better done in the Test Specifications.
When all channels programmed press OK and answer Yes to use now question.
The logger should now scan at the default rate of 5 seconds for ‘backgroud’ scanning. The channels can be viewed with the Inputs Display button.
The logger should now be operational and can be calibrated and then a test performed.
If Input Modules are re-moved and re-configured TQSoft should be re-started, on re-start TQSoft will set any missing channels to OFF.
To modify the setting:
Exit TQSoft.
Load the file LOGSYS.INI in the LOGSYS folder into a text editor.
Locate the section "General"
Locate, or add the entry:
"Fluke NetDAQ Speed Setting=0" for slow most accurate.
"Fluke NetDAQ Speed Setting=1" for medium speed less accurate.
"Fluke NetDAQ Speed Setting=2" for fast least accurate.
Then restart TQSoft.
TQSoft supports the whole Eurotherm’s 5000,6000 Series of recorders (5100V, 5180V graphics recorders and 5000B Data acquisition and logging units) using the MODBUS TCP protocol driver.
If the Eurotherm series unit is already configured to properly log the variables, you can skip the 5000 series unit set-up.
If a proper communication is established between the PC and the Eurotherm unit using the “Bridge” software available from Eurotherm, you can skip the unit configuration steps and go directly to the TQSoft configuration instruction.
Eurotherm unit set-up
At first configure the Eurotherm channels as required. Please consult the relevant Eurotherm documentation, for example the “User Guide” manual that is supplied with the instrument or it is available from the web site of Eurotherm.
It is necessary to configure each channel by selecting “operator” from the menu and then “config” and “Inputs”, as an example for thermocouples:
Select the channel to configure
Select the “Input Type” as “Thermocouple”
Select the “Lin type” as “Type T” or the appropriate type
Select the “Range Unit”, as an example to “°C”
Set the Range Low and Range High, as an example to -40 and 160 respectively
Leave the other fields as by default
Repeat the configuration for each channel
Communication set-up
For full explanation of Eurotherm’s TCP/IP communication protocols please consult the relevant Eurotherm documentation, for example the “Serial Communications and Remote Viewer User Guide” manual that is supplied with the instrument or it is available from the web site of Eurotherm.
Connect the crossover cable (10/100BaseT cable ) between the PC and the unit or connect both the PC and the unit to the network (HUB, …).
To configure the TCP/IP communication of the unit selecting “operator” from the menu and then “network”:
Set the IP address lookup to “Specify IP address”. (In case the unit is connected to a LAN, not only to the TQSoft PC, it is necessary to select this option according to your network requirements).
Leave the IP address to
the default 192.168.111.222 or select a suitable IP
address
Leave the Subnet Mask to the default 255.255.255.0.
Leave the other fields as by default
To properly configure the TCP/IP communication on the PC running TQSoft, set the computer’s IP address to a value having the first part of the IP address equal to the IP of the unit: 192.168.111.X . As an example 192.168.111.100 and its subnet mask to 255.255.255.0.
TQSoft configuration
Start TQSoft
![]()
On Logger menu choose Select type of Logger/Recorder, then select
MODBUS TCP in the Loggers field:
![]()
Clicking the OK button
the software will attempt to verify that communication with a logger can be
established with the default communication parameters. If this succeeds a
message is displayed giving details of the logger (like the channels number).
If the communication is
not established, check the IP address settings of the logger unit, in our
example it shall be 192.168.111.222 (the Eurotherm’s
factory default) or select the 32 bit registers, if you made a
modification then press the “call”
button:
When the communication is established press
the OK button.
User will then be presented with the channel configuration selection window. It is better to press cancel here and proceed straight to the Edit Channel Configuration option on the Setup menu.
Choose a channel configuration that is spare or will not be used and modify the name text box to reference Eurotherm.
Configure each channel according to the connections in the unit input modules, setting any surplus channels to OFF in the Channel Type field selection.
Please note here that the locations do not have to be set yet. This is better done in the Test Specifications.
When all channels programmed press OK and answer Yes to use now question.
The logger should now scan at the default rate of 5 seconds for ‘backgroud’ scanning. The channels can be viewed with the Inputs Display button.
The logger should now be operational and can be calibrated and then a test performed.
The procedure for operating TQSoft with Tecnosoft Temperature and Humidity loggers is as follows.
Install TQSoft and license.
Start TQSoft, on the Logger menu go to Select type of Logger, and scroll down to the Tecno driver. Press OK. Press Cancel in the Test Equipment window.
On the Logger menu select Logger Control. The control window will list any Tecnosoft interfaces found on ports 1 to 16. USB serial converters can be used and several have been tested with TQSoft and Tecno interfaces. The example here shows a TempStick and HumiStick connected, resulting in three available channels of data shown on the right, with serial no 062B001 having two channels. Count shows the number of acquisitions stored.

Press OK to exit.
To program a mission, press the button with the TecnoSoft logo on it.

Select the TecnoSoft example from the Test Specification list.

The Job Reference is a reference that will appear on reports and can be used to group data. It can be left blank here.
Select the example for the Chamber, this is the equipment/facility that is being monitored or tested.
Enter cycle number 00002, this is the file name that will be used to store the data.
Then press the Next button.

The logger control window will appear again with more options. The Download button can be used to download data directly without first programming a mission. The date and time to start acquiring data can be set here. Press the Start Logging button to program the attached loggers with a mission.
If error messages appear the window will disappear. Then press the TecnoSoft button on the main toolbar.

The Stop Logging window will appear. Click on the mission record and the specified Loggers list and Stop Logging button will appear.
Attach the specified loggers and press Stop Logging button. If loggers are missing an alert will appear. If no loggers are connected the mission record can be removed.
If all data is successfully downloaded and stored the test record 00002 becomes the currently selected test record as shown on the Current Test menu. The Data List, Chart, Test details, and Notes buttons and all options on the Current Test menu will access data for test 000002.
Although data can easily be downloaded with a ‘bare bones’ test specification such as the example one, the great benefit of using TQS with TecnoSoft loggers is that Test Specifications give users a great way to pre program and subsequently modify data analysis and data presentation in great detail in a 21CFR compliant environment.
Data from specific loggers can be forced into a TQS channel number, the procedure for this is outlined below. TQS analysis and alarm limits can then be set up using the standard calculations and I-Calcs. These can operate on specific channel numbers and between specific times. This allows the user great flexibility on what data is analysed and how and when.
It will often be of great benefit to merge data form many different loggers into a single test record. This will often be of benefit for analysis and presentation yet keeping 21CFRpart11 compliant data. Even if hardware COM ports are limited this can still be achieved in TQS by using the Data Merge function.
On the Setup menu click on Edit Test Specifications, then select Tecnosoft Example.
Click on the Probes tab.
Click on Select probes and select, for example, the first 3 channels.
Click on the Location of No 1 and enter a logger serial number followed by the channel number [1] for temperature and [2] for humidity. Press ENTER after each serial number.

To setup TQS-NET we recommend a fresh TQS installation and follow this procedure as carefully as you can:
1. After TQS installation select TQS-NET driver from Select Type of Logger and press OK.
2. The TQS-NET start-up window will appear for a short while and will automatically start two ‘slave’ copies of TQSoft which will be minimized on Windows task bar.
3. The Channel Configuration selection window will appear, select the Universal Channel Configuration.
4. Close the Test Equipment window.
5. You will see the TQS-NET window appear:

6. On the Windows taskbar hold your mouse over the TQSoft icon and you should see several copies of TQSoft active. The TQS-NET window manages these.
7. There are 2 ‘slave’ TQSoft and each must be setup to connect to a logger. The ‘master’ will control and collect data from each slave TQSoft.
8. Press the Slave1 button. The ‘master’ will be minimized and the toolbar caption will show which slave you have up:

9. For Slave1 you should go to Edit Channel Configuration. ‘NOT USED 16’ has been automatically assigned to Slave1. Don’t change this selection, but you can change the name to Slave1. Ensure the channels are setup correctly. (If Slave1 will connect to Fluke Hydra 2620, 2625, 2635 channel 1 is the reference input and should be set to OFF)
10. Save and use the channel configuration and go to Select Type of Logger and connect to the logger.
11. In the TQS-NET window press the Slave2 button and repeat above procedure, except that ‘NOT USED 15’ has been automatically assigned to Slave2. Don’t change this selection, but you can change the name to Slave2.
12. When Slave2 is connected and its channel configuration is correct, press the Master button on the TQS-NET window.
13. Now press the GO button for Import slave configurations..... This will rename all the channels. Press Inputs Display to see the results.
Note: When selecting multiple loggers for Fluke NetDAQ, the Base
Channel Number (BCN) number for each logger must different. Procedure for
setting the BCN number is in section 2-30 of the NetDAQ manual. In TQS the BCN
must be set by using the Select Connection
button when selecting the logger……
In TQS-NET each slave initially has calibration automatically switched off, so calibration is performed in the Master. To calibrate all TQS-NET channels will require several calibrations.
For furnace validation you will need to use the calibration in each slave (to avoid having to enter all the offsets for both loggers thermocouples into a new calibration file). So you will need to follow this procedure carefully:
1. Switch calibration factors active in PC setting OFF in the master and ensure that calibration factors active in PC is switched back ON in each slave. (This setting is found in Logger/Manual Calibration Adjust).
2. Check that each slave is using a separate and correct calibration file (set of thermocouples corrections).
3. Check that each slave is using a separate and correct calibration file for logger corrections.
All Test Specifications must be programmed with the channel configuration selected in the master TQS. All aspects of testing are the same as for testing with a single logger.
At the start of a test TQSoft
automatically tries to synchronize the logger
TQSoft version 5 supports the
Ensure an Administrator is setup on the recorder with ‘Comm+Key’ access.
Once communications are successfully
established, TQS will configure channel setup and
Ensure an Administrator is setup on the recorder with ‘Comm+Key’ access. The TQS setting Username for Recorder is used for the Recorder Username and ID.
Once communications are successfully
established, TQS will configure channel setup and
Connect the crossover cable (10/100BaseT cable) between the PC and the DX unit, or connect both the PC and the DX unit to the network or hub.
TQSoft is designed to work with the factory default communications settings. This procedure can be used to verify the settings of the Ethernet TCP/IP communication of the DX Series unit:
Press the menu button.
Then hold down the Func button for several seconds until the Basic Setting Mode appears.
Scroll down to Communication (Ethernet).
Use the right side arrow button and select IP-Address, Host Settings.
The DHCP setting should be Not.
The IP address should be 192.168.1.101.
The Subnet mask should be 255.255.255.0.
The default gateway should be 0.0.0.0
Host settings should be blank.
Press Esc button twice to exit and then scroll up to Login.
Scroll down to Admin settings.
Verify that an Administrator is setup with:
Mode: Comm
Note the username and password for use in TQSoft.
Exit (save if necessary) and choose End on the main Settings menu.
Use this procedure to setup the DXP unit from factory default setting.
Press the Menu Button.
Scroll to System Mode.
Select Communication.
Select Ethernet/Serial.
The IP address should be 192.168.1.101.
The Subnet mask should be 255.255.255.0.
The default gateway should be 0.0.0.0
Exit and select Admin Tool.
Then Admin Settings.
Setup an Administrator with
Same Username and ID
Comm+Key access.
To configure the TCP/IP communication on the PC running TQSoft, set the computer’s IP address to a value having the first part of the IP address equal to the IP of the DX unit: 192.168.1.X . As an example 192.168.1.100 and its subnet mask to 255.255.255.0.
Start TQSoft and choose Select Type of Logger on the Logger drop down menu.
Scroll down to
Check that the Slave IP address matches the DX Communication Settings IP address.
Check that the Username and Password match an Admin Setting in DX Communications Settings procedure above. (If using the DX100P/DX200P ensure the Administrator setup in the unit has same username and password.)
Press OK.
User will then be presented with the channel configuration selection window. The Universal one can be selected and the unit will be configured for all type T channels. Pressure and Humidity channels can be added later.
The logger control window should now appear as below. System is operational. Quit button can be pressed and calibration and tests performed.
If communications are successfully established the Logger Control window should appear as below.

![]()
This button will re-connect the PC to the unit.
![]()
This button will disconnect the PC from the unit.
The Calibration factors Active checkbox is very important.
If checked ON…
The calibration adjustments will be made in TQSoft only
The
If checked OFF…
The calibration adjustments will be made in
the
The 21CFRpart11 compliant aspect of the
system may be compromised depending on the management of the
If user starts a calibration in TQSoft, TQSoft
will automatically remove all calibration from the
The Control Start/Stop on Recorder will make TQSoft automatically press the Start button on the recorder when user presses Start Logging in TQSoft.
The Import DX File from PC button will
allow user to select a
The List CF Media button allows user to
list and select a
User is required to setup or select a TQSoft Test Specification for the import.
This allows user to reuse standard Test Specifications to present and report test data.
Once import process is complete a new test will appear in the TQSoft Historic Test windows. (use the Historic Tests button on main toolbar).
If you require use of a voltage channel for measuring Pressure or Humidity, TQS allows user to set this up under Setup then Edit Channel Configuration, select desired channel, then select from the DC Voltage options. Scale and span boxes will appear allowing the sensor to be configured correctly.
Notes:
TQSoft sets the DX Scan Interval to
At present TQSoft does not change the Recorder Scan Interval with XV command. Seems to suffice to use FR to change FIFO buffer acquisition rate only. Also TQS scan Interval resolves to only 1sec, 2 sec & 5 secs for DX.
TQSoft provides the following benefits
A logger batch management screen for programming and downloading loggers.
Advanced, fully audited and 21CFRpart11 compliant Data Management and Analysis services.
Automated validation reporting for validation engineers and thermal mapping projects.
Audited calibration services and Reports for each test performed.
Install the manufacturers Windows compatible drivers for these devices. With TQSoft multiple interfaces will enable simultaneous management of loggers.

Connect the logger interface cable to the PC or a powered USB hub.
Start TQSoft from the icon on the desktop or windows start menu.
Select Logger Control from the Logger drop down menu.
Select how many loggers you have.
Leave the checkbox options OFF for now.
Both options can easily be changed at any time.
Press the Logger button and then press Refresh.
Connected loggers should be shown in the connection window shown below.
If loggers do not appear in the window, go to Logger menu Select Type of Logger and press the Test Connection button. It should show your Windows System Hardware Device Manager. The USB connection should appear as shown here……

The Connection window shows loggers connected.
Click any logger to display the logger information panel on the right.
To program loggers and start a test record in TQSoft, press the Start a Test button.
Once a test is started the loggers can be taken away and placed in position.
Later the loggers will be returned to connect to TQSoft. Then use the Download a Test button.
TQSoft can have any number of Test Records waiting for loggers to be returned for download.
Loggers can be programmed to operate as a batch, press the Start a Test button.
Select a chamber where data is to be collected. TQSoft contains a database of chambers where information such as serial number and location etc. can be entered.
Enter (or leave the default) a ‘cycle’ number which will be the computer file name for the data.
Press Next.
A Test Specification must be assigned. The Test Specification can contain all the required information about a test including how data should be presented and what calculations should be made and shown.
Select the Sample Test Spec. The Estimated test duration field in the Test Specification can be used to limit the data collection to this setting. If it is left blank or 00:00:00 then all data from the loggers will be used.
Enter a ‘Job’ Reference which is simply a reference that will appear on any test reports.
Press Next.
The logger connection window will re-appear as shown below.
In the left pane the Test Specification selected channels are shown. Each ‘channel’ is a data column in the Test Record. These are relevant because the Test Specification can be setup to perform calculations on specific channels.
If the Test Specification has too many or too few channels setup it does not matter. Extra channels will be left out of the test record, and extra loggers will be assigned to new channels. The only reason for the test spec channels to be shown is to assign calculations to specific loggers.
To assign a logger to a particular channel, drag from the logger pane and drop in the Test Specification pane.

Use the Program button to program all connected loggers to start acquiring data at the specified time and date shown, at the interval set in the test specification, and for the duration set in the test specification.
Once programmed the logger icons will change to indicate they have been programmed.
If you have more loggers you wish to include, disconnect the programmed ones and connect more loggers, and press Add. Or you can skip the Add and simply press Program again. The new loggers will be added to the list with icon to indicate their status. The disconnected loggers will remain in the list with a disconnected icon.
Using Add or Program will not recheck all ports. If you add a new interface to another port you will need to use Refresh to get it seen.
Pressing the Refresh button will discard any disconnected loggers.
When all required loggers are programmed simply press Quit and TQSoft will create a test record ready for download later.
Don’t be confused by the Download button. Some projects require that a test record be made from loggers that already have data stored in them. The download button then allows you to skip the logger data collection stage, and download immediately into a newly created test record. In this procedure the Start Time is taken from the loggers, not the right hand pane.
When loggers have finished collecting data they can be returned to the PC for batch data download with TQS.
Press the Download a Test button in the Connection Window. The Stop Logging window lists any test records that are waiting for download. Click on the left pane to select the correct record and press Next.
The MadgeTech window will appear again.
The Loggers connected list will show all loggers required for the Test Record. Connect loggers (in batches) and press Download until all loggers have the download icon. Then press Quit.
It does not matter if not all the loggers are available, TQSoft will only use the loggers available although it will be clear to the operator which loggers are missing.
It does not matter if extra loggers are included, TQSoft will put the extra data into the next available channel.
Measurements recorded by TQSoft with RTD101 or RTD110 may differ slightly from MadgeTech software downloads by up to 0.01C. TQSoft uses the Callendar-Van Dusen equation to convert resistance to temperature.
If you wish TQSoft to manage calibration for the loggers, and produce calibration summary reports for tests, use this procedure…
Select Logger Control from the Logger drop down menu.
Tick the Calibration Services option and Quit.
Connect logger(s) and press the Logger button and then press Refresh.
The Calibration Management window should appear for each logger………..

The window shows the Calibration File (in this case Calibration Set 1) that will be used to store the calibration data. Calibration files can be managed with the Calibration Files menu option under Logger. But you can use the default calibration file. Users should check that their Test Specifications specify the default calibration file.
Pressing the arrow button will update the calibration file called Test with logger N637101 details, and any calibration set points created in TQSoft will be removed. (See next section)
The calibration management window will only appear when calibration date in logger and PC do not exactly match.
To create calibration data with TQSoft a user has 2 options:
A) Add calibration set points manually.
With calibration services switched on, users will be able to add set calibration points with the Logger menu option Manual Calibration Adjust. The software can then adjust all data collected from the logger. It will also generate a calibration summary report for any test data. This report will appear on the Current Test menu under calibration print and preview.

B) Create a Test Specification with the Data for Calibration option ticked. Data collected with this option will not have the current calibration applied, so it may be used to generate new calibration data for the Advanced Calibration option on the Logger menu.
With calibration services on TQSoft can monitor logger usage and even set a usage warning and limit with message. With this function the user can monitor for battery replacement or for re-calibration by usage instead of date.
For usage to be automatically updated by TQSoft the logger serial numbers must be dragged into the Test Specification pane when programming or downloading loggers.
To view the usage of any logger, go to Logger menu then Manual Calibration Adjust and click on the calibration file and then the particular logger serial number. There will be an entry called usage.
To setup or edit the usage criteria click on the main usage item in the Manual Calibration Adjust window.
TQSoft version 5 supports the
Ensure that the unit has an RS232 or Ethernet communications module installed.
Once communications are successfully
established, TQS will configure channel setup and
Ethernet: Connect the crossover cable (10/100BaseT cable) between the PC and the DR unit, or connect both the PC and the DR unit to the network or hub.
RS232: Connect NULL modem cable between PC and DR.
Please consult the DR manual for menu sequence to verify the communication settings of the DR unit.
To configure the TCP/IP communication on the PC running TQSoft, set the computer’s IP address to a value having the first part of the IP address equal to the IP of the DX unit: 192.168.10.X . As an example 192.168.10.100 and its subnet mask to 255.255.255.0.
Start TQSoft and choose Select Type of Logger on the Logger drop down menu.
Scroll down to
Check that the Slave IP address matches the DR Communication Settings IP address.
Press OK.
The logger control window should now appear as below. System is operational. Quit button can be pressed and calibration and tests performed.
If communications are successfully established the Logger Control window should appear as below.

![]()
This button will re-connect the PC to the unit.
![]()
This button will disconnect the PC from the unit.
The Calibration factors Active checkbox is very important.
If checked ON…
The calibration adjustments will be made in TQSoft.
If checked OFF…
No calibration adjustments will be made.
The Control Start/Stop on Recorder will make TQSoft automatically press the Start button on the recorder when user presses Start Logging in TQSoft.
If you require use of a voltage channel for measuring Pressure or Humidity, TQS allows user to set this up under Setup then Edit Channel Configuration, select desired channel, then select from the DC Voltage options. Scale and span boxes will appear allowing the user to configure the sensor correctly.
USB communication will require installation of drivers for the communications chip. Follow this procedure….
Install TQSoft.
Connect the USB cable.
When windows detects new hardware, the driver files are in a specific location, namely ‘c:\logsys\Utilities\Grant Squirrel\20xx USB’.
Start TQSoft and select Grant from the Logger/Select Type of Logger menu. To confirm connection press the Inputs Display button.
Do not disconnect USB cable while TQSoft is running.
Start TQSoft with or without USB cable connected. When cable connected TQSoft will auto detect and display a message.
When TQSoft first connects to a Squirrel logger it will offer to get the channel configuration setup and store it in a TQSoft channel configuration file. It is advisable to do this because the Squirrel logger has complex rules about channels setups, and the default channel configuration files in TQSoft may not be immediately usable in the Squirrel without modification.
There is a typical logger setup in the c:\logsys\Utilities\Grant Squirrel 2040’ folder called Typical Grant Setup.S20 which can be loaded and used with SquirrelView software prior to connection with TQSoft.
The TQSoft driver for Grant logger allows scaling of voltage channels in the edit channel configuration window. This means that transducers do not require use of the calibration procedures in TQSoft.
Squirrel data files with d20 suffix can be placed in the c:\TQSoft\CSV folder. If the import option is checked in Historic Tests/Configure, the d20 file will appear in the Historic Tests list after using Remake. Double click the d20 file will allow the Start Test process to run through and the data should be imported.
See appendix I.
To use Gemini loggers USB interface drivers must be installed either by installing TinyTag software, or by downloading the drivers from Gemini.
For guide on use of the loggers in TQSoft, please use Appendix T for battery loggers.
TQSoft uses the T&D Graph application
which must be installed and be started by user.
User can use T&D software to download
T&D data into secure 21CFRpart11 TRX or TRZ files. Then place
these into TQSoft CSV folder and then:
REVISION |
Comment |
Date |
|
1 (Ver1) |
|
16/5/2000 |
|
1 (Ver2.0) |
|
20/1/2001 |
|
3 (Ver2.0) |
|
15/5/2001 |
|
2 (Ver2) |
|
10/9/2001 |
|
4 (Ver2) |
|
7/11/2001 |
|
5 (Ver2) |
|
5/12/2001 |
|
6 (Ver2) |
|
17/12/2001 |
|
1 (Ver3.0) |
|
25/7/2002 |
|
0 (Ver3.1) |
|
7/12/2002 |
|
1 (Ver3.1) |
|
6/5/2003 |
|
0 |
|
25/5/2003 |
|
1 |
Approval Control section added |
6/5/2003 |
|
2 |
Quick Start and Version Info separated |
20/6/2003 |
|
3 |
Appendix I
Agilent communications information updated |
1/8/2003 |
|
4 |
Appendix N Simulating a Test for Validation and Demo. |
22/9/2003 |
|
5 |
Computer and Operating System Specification Requirements. Section 6.4 License Codes explanation. |
30/9/2003 |
|
6 |
Appendix L updated (Pressure calibration) |
23/10/2003 |
|
7 |
Appendix O Fluke 2680 Operational Guide |
2/12/2003 |
|
Modification for Fluke PT100. |
8/12/2003 |
|
|
8 |
Version 4 |
10/02/2005 |
|
9 |
Version 4.0.4 |
20/9/2005 |
|
10 |
Version 4.0.5 |
28th Oct 2005 |
|
11 |
Version 5.0.0 |
25th Sept 2006 |
|
12 |
Version 5.0.4 |
14th Jan 2008 |
|
13 |
Version 5.3.0 |
23rd Dec 2009 |
|
14 |
Version 5.3.7 |
13th Dec 2010 |
|
15 |
Version 5.3.11 |
14th Dec 2011 |
|
16 |
Version 5.3.12 |
5th Dec 2012 |
|
17 |
Version 6.0.0 |
17th Dec 2012 |
|
18 |
Version 6.0.4 |
1st Aug 2013 |
|
19 |
Version 6.0.6 |
1st July 2014 |
|
20 |
Version 6.1.0 |
1st May 2015 |
|
21 |
Version 7.0.0 |
22nd Aug 2016 |
|
22 |
Version 7.1.0 |
15th Jan 2018 |
|
23 |
Version 7.1.1 |
6th Mar 2018 |
|
24 |
Version 7.1.2 |
20th Jan 2019 |
|
25 |
Version 8.0.0 |
24th April 2022 |
|
26 |
Version 9.0.0 |
7th Mar 2025 |
This document conforms to TQSolutions Quality
Management System.
Changes to the document will require a re-issue of the
document with an entry in the Revision History both above and in the Document
Control Table.
|
Director: Richard Bridger TQSolutions Ltd |
|
7th Mar 2025 |
|
Reviewer: Claire Bridger (QA) TQSolutions Ltd |
|
7th Mar 2025 |